本案例用于出租,有收益,用收益还原法估价。基本公式

1)计算年总收益
土地及建筑物年总收益=月租金×年度月份×建筑面积×有效出租率
=30×12×500×0.8=144000(元)
(租金采用市场租金估算)
=15306(元)
房屋现值=房屋重置价-年折旧费×已使用年限
=1500×500-15306×3=704082(元)
房屋年纯收益=房屋现值×房屋还原率=704082×6%=42245(元)
4)计算年土地纯收益
土地年纯收益=土地及建筑物年总收益-出租总费用-房屋年纯收益
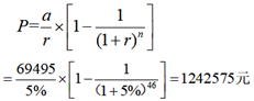
=144000-32260-42245=69495(元)
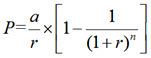
5)计算土地使用权价格
2)计算出租总费用
年税金=税金标准×建筑面积=20×500=10000(元)
年管理费=年总收益×管理费比率=144000×4%=5760(元)
年维修费=建筑面积×重置价×维修费比率
=500×1500×2%=15000(元)
年保险费=建筑面积×重置价×保险费比率
=500×1500×0.2%=1500(元)
出租总费用=年税金+年管理费+年维修费+年保险费
=10000+5760+15000+1500=32260(元)
3)计算房屋出租年纯收益

