首页
考研
最新考研题库
中外美术史23新版
建筑类
二级建造师
一级建造师
一级造价工程师
监理工程师
安全工程师
一级消防工程师
消防设施操作员
医学类
主治类
执业药师
护师(初级)资格证考试
主管护师(中级)资格证考试
护士资格证考试
医师类
中药学类
金融类
基金从业资格
银行从业资格
证券从业资格
期货从业资格
银行招聘考试
财会类
初级经济师
中级经济师
初级会计师
中级会计师
注册会计师
税务师
资产评估师
教师类
中学教师笔试
小学教师笔试
幼儿教师笔试
幼儿结构化面试
幼儿专业面试
中小学结构化面试
学历提升
成考(专升本)
成考(高起本、高起专)
自考
网校课程
登录
注册好礼
我的主页
我的提问
我的回答
退出
当前位置:
首页
>
房地产估价基础与实务
>
计算题 某家庭拟购买一套新房,并将原有住房出租。预计原有住房的净租金收入为每月2000元,资本化率为9.6%,假设租金和
分析
计算题 某家庭拟购买一套新房,并将原有住房出租。预计原有住房的净租金收入为每月2000元,资本化率为9.6%,假设租金和住房市场价值不随时间发生变化。该家庭希望实现“以租养房”,即每月的抵押贷款还款额不超过原有住房的租金收入。购买新房的最低首付款为房价的30%,余款申请年利率为6%的住房抵押贷款,按月等额还款,最长贷款年限为20年。问:
(1)该家庭能够购买最高总价为多少万元的新房?(精确到小数点后2位)
(2)设该家庭购买了这一最高总价的新房,并希望在还款一段时间之后,利用出售原有住房的收入一次性提前还清抵押贷款,问至少需要在还款多少个月(取整)后,再出售原有住房并还清贷款?
正确答案
已知A=2000元,n=240,i=6%/12=0.5%,R=9.6%。
(1)求购房最高总价:
贷款总额:
购房最高总价=P/70%=279161.54/70%=39.88(万元)。
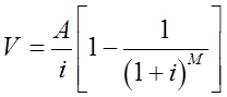
(2)求出售原有住房时,住房的市场价值:V=A×(12/R)=2000×(12/9.6%)=25(万元)。
设剩余M个月需要偿还25万元,则有:
代入具体数据可得:
解得:M=196.66(个月)。240-196.66=43.34(个月),根据题目要求需要取整数,所以,在还款44个月之后出售住房。
查看解析
搜索
相关试题
分析
计算题 某开发商通过出让方式以1000元/m2的楼面地价购买了一块尚未进行拆迁安置补偿的写字楼用地50年的土地使用权,预计尚需投入的拆迁安置补偿和其他土地开发费
查看
分析
问答题 甲公司2012年通过有偿出让的方式获得某宗地的使用权,土地用途为高档住宅,楼面地价为3500元/m2。甲公司拟分两期建设80栋别墅。当第一期40栋于20
查看
分析
问答题 某评估公司受甲公司委托,对其拥有的一处自建房地产区进行评估,估价目的为抵押。该房地产占地面积为3500m2,总建筑面积为4500m2,2012年1月竣工
查看
分析
指错题 (封面、目录、致委托方函、注册房地产估价师声明、估价的假设和限制条件略)××置业公司部分房地产估价结果报告 一、委托方 ××置业公司 法定代表人:×××
查看
单选
不定项选择题 6年前,甲提供一宗土地面积为1000m2、使用年限为50年的土地,乙出资300万元,合作建设建筑面积为3000m2的房屋。房屋建设期为2年,建成后
A 比较法 B 成本法 C 收益法 D 假设开发法
查看
单选
不定项选择题 6年前,甲提供一宗土地面积为1000m2、使用年限为50年的土地,乙出资300万元,合作建设建筑面积为3000m2的房屋。房屋建设期为2年,建成后
A 1044.79 B 1000.00 C 973.82 D 829.94
查看
单选
不定项选择题 6年前,甲提供一宗土地面积为1000m2、使用年限为50年的土地,乙出资300万元,合作建设建筑面积为3000m2的房屋。房屋建设期为2年,建成后
A 106.08 B 214.85 C 829.94 D 1044.79
查看
单选
不定项选择题 6年前,甲提供一宗土地面积为1000m2、使用年限为50年的土地,乙出资300万元,合作建设建筑面积为3000m2的房屋。房屋建设期为2年,建成后
A 1044.79 B 1144.79 C 1244.79 D 1344.79
查看
单选
不定项选择题 甲公司投资建设五星级宾馆,其土地使用权性质为划拨商业用地。在宾馆建成运营初期,甲公司为确保运营安全决定为该宾馆投保火灾险,委托乙估价机构评估该宾馆
A 3500万元是该宾馆的公开市场价值 B 3500万元是该宾馆房地产的公开市场价值 C 3500万元是保险事故发生后的损失价值 D 投保时,保险金额不能超过3500万元
查看
单选
不定项选择题 甲公司投资建设五星级宾馆,其土地使用权性质为划拨商业用地。在宾馆建成运营初期,甲公司为确保运营安全决定为该宾馆投保火灾险,委托乙估价机构评估该宾馆
A 该宾馆财务数据中的当年净利润可视作年净收益 B 按当地同类宾馆的正常经营利润水平核算得到的该宾馆的年利润可视作年净收益 C 该宾馆财务数据中的年净利润减当地同类宾馆的正常商业利润可视作年净收益 D 根据该宾馆财务数据中的年总利润、建筑物折旧和财务费用,并考虑未来变动情况,扣减当地同类宾馆的正常商业利润后的所得可视作年净收益
查看
刷题小程序
热门试卷
房地产估价师《房地产估价基础与实务》模拟卷1
房地产估价师《房地产估价基础与实务》模拟卷2
房地产估价师《房地产估价基础与实务》模拟卷3
房地产估价师《房地产估价基础与实务》模拟卷4
房地产估价师《房地产估价基础与实务》预测卷1
房地产估价师《房地产估价基础与实务》预测卷2