首页
考研
最新考研题库
中外美术史23新版
建筑类
二级建造师
一级建造师
一级造价工程师
监理工程师
安全工程师
一级消防工程师
消防设施操作员
医学类
主治类
执业药师
护师(初级)资格证考试
主管护师(中级)资格证考试
护士资格证考试
医师类
中药学类
金融类
基金从业资格
银行从业资格
证券从业资格
期货从业资格
银行招聘考试
财会类
初级经济师
中级经济师
初级会计师
中级会计师
注册会计师
税务师
资产评估师
教师类
中学教师笔试
小学教师笔试
幼儿教师笔试
幼儿结构化面试
幼儿专业面试
中小学结构化面试
学历提升
成考(专升本)
成考(高起本、高起专)
自考
网校课程
登录
注册好礼
我的主页
我的提问
我的回答
退出
当前位置:
首页
>
房地产估价基础与实务
>
计算题 某家庭计划5年后购买一套120m2的新建住房,该家庭目前及未来5年的财务状况如下: (1)目前已准备用于购房的积
分析
计算题 某家庭计划5年后购买一套120m2的新建住房,该家庭目前及未来5年的财务状况如下:
(1)目前已准备用于购房的积蓄共50万元;
(2)该家庭月工资收入为12000元,预计将以每月0.5%的比例递增,该收入的50%储蓄用于购房;
(3)该家庭另有一套房产出租,每月净租金收入为1000元,全部储蓄用于购房。各项收入均为月末取得。
若5年后该家庭购房时首付款比例为50%,则在不出售目前房产且假设未来收入能满足还贷要求的情况下,该家庭可承受的最高住房单价是多少?(假设银行存款年利率为3%,按月计息)
正确答案
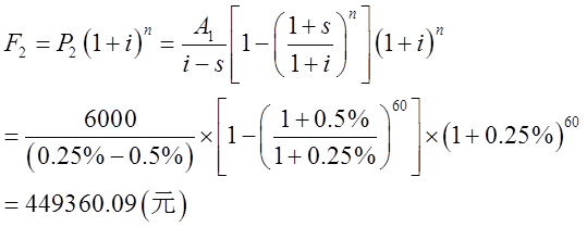
已知:i=3%/12=0.25%,n=5×12=60,s=0.5%,A1=12000×50%=6000(元),A2=1000元。
已准备用于购房积蓄5年后的终值:
工资收入用于购房的资金5年后的终值:
净租金收入5年后的终值:
则:F=F1+F2+F3=580808.39+449360.09+64646.71=1094815.19(元)。
可购住房总价为:1094815.19/50%=2189630.38(元);
可购住房单价为:2189630.38/120=18246.92(元/m2)。
查看解析
搜索
相关试题
分析
计算题 甲公司花4.3亿元购买了一幢写字楼用于出租经营。该公司自有资金投入为购买价格的60%,其余为年利率7.5%、期限20年、按年等额还款的抵押贷款。该写字楼
查看
分析
问答题 某一委估房地产,其设计用途为商业,结构等级为钢混结构,水电卫齐全,总建筑面积为1632.5m2,该大楼共31层,现一层为甲公司营业大厅,二层为办公用房,
查看
分析
问答题 某房地产估价机构接受委托评估一栋于5年前建成的钢筋混凝土结构的商场,该商场土地使用权以出让方式取得,用途为商业,估价目的为评估该商场的抵押价值。房地产估
查看
分析
指错题 指出并改正下列房地产估价文书的错误 估价对象现状为一空置厂房,土地面积4000㎡,总建筑面积6000㎡,分析其所在区位特点和周边环境,适宜装修改造成纯办
查看
单选
不定项选择题 甲方(开发公司)于2010年7月委托乙方(建筑公司)建造两幢(分别称为A座和B座)8层共5000m2的商品房。至2011年12月止,甲方共支付乙方
A 估价对象状况及房地产市场情况均为2011年12月的状态 B 估价对象状况及房地产市场情况均为2015年11月的状态 C 估价对象状况为2015年11月的状态,房地产市场情况为2013年7月的状态 D 估价对象状况为2013年7月的状态,房地产市场情况为2015年11月的状态
查看
单选
不定项选择题 甲方(开发公司)于2010年7月委托乙方(建筑公司)建造两幢(分别称为A座和B座)8层共5000m2的商品房。至2011年12月止,甲方共支付乙方
A 以1500万元作为评估值 B 以(1400+1580)÷2=1490万元作为评估值 C 以2010年7月的预算定额、材料差价等资料为依据,按该两幢商品房到停工之日止实际发生的工程量计算评估值 D 以2010年7月至2011年12月间的预算定额、材料差价等资料为依据,按该两幢商品房到停工之日止实际发生的工程量计算评估值
查看
单选
不定项选择题 甲方(开发公司)于2010年7月委托乙方(建筑公司)建造两幢(分别称为A座和B座)8层共5000m2的商品房。至2011年12月止,甲方共支付乙方
A 2011年12月 B 2013年7月 C 项目转让日期 D 项目建成日期
查看
单选
不定项选择题 甲房地产开发公司拟投资开发一个大型居住区,预计工程全部完工需要三年时间,目前市场对此类房地产的需求较旺,但由于周围正在规划或建设较多的住宅小区,预
A 因为目前房地产市场需求较旺,采用假设开发法(现金流量法)估价时,预计未来房屋售价,可适当比现时同类房屋售价高 B 因为预计空置率会有较高的升幅,采用假设开发法(现金流量法)估价时,预计未来房屋售价,可适当予以调低 C 该部分土地的价值等于该部分土地占全部土地的份额乘以项目全部土地的价值 D 该土地的价值是甲公司获取土地时所支付的代价
查看
单选
不定项选择题 甲房地产开发公司拟投资开发一个大型居住区,预计工程全部完工需要三年时间,目前市场对此类房地产的需求较旺,但由于周围正在规划或建设较多的住宅小区,预
A 548.19 B 558.15 C 567.39 D 675.40
查看
单选
不定项选择题 甲公司2013年3月以100万元购买了一宗工业用地及其厂房,其中,地价占到总价格60%。随后甲公司办理了权属转让手续后,甲公司又花费了10万元用于
A 106万元 B 116万元 C 小于106万元 D 大于116万元
查看
刷题小程序
热门试卷
房地产估价师《房地产估价基础与实务》模拟卷1
房地产估价师《房地产估价基础与实务》模拟卷2
房地产估价师《房地产估价基础与实务》模拟卷3
房地产估价师《房地产估价基础与实务》模拟卷4
房地产估价师《房地产估价基础与实务》预测卷1
房地产估价师《房地产估价基础与实务》预测卷2