根据成本法计算公式,该厂房2013年9月30日的市场价值=土地重新购建价格+建筑物重新购建价格-建筑物折旧。该厂房2013年9月30日的市场价值的计算步骤具体如下:
(1)土地重新购建价格

(2)建筑物重新购建价格
1800×1.32×1=2376(万元)。
(3)建筑物折旧
①物质折旧
a.房屋门窗、屋顶破损修复费用30万元;
b.空调系统以外的其他设备折旧费=Cdt=80×8/10=64(万元);
c.长寿命项目折旧费=(2376-30-80)×8/60=302.13(万元)(在出让合同约定建筑用地使用权期间届满需要无偿收回建设用地使用权时,对收回的建筑物给予补偿前提下);
d.长寿命项目折旧费=(2376-30-80)×8/49=369.96(万元)(在出让合同约定建筑用地使用权期间届满需要无偿收回建设用地使用权时,对收回的建筑物不予补偿前提下);
e.物质折旧小计:396.13万元或者463.96万元。
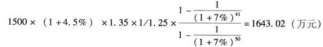
②功能折旧(功能过剩引起的折旧)
在用建筑物重建价格情况下,

(万元)。
③建筑物折旧小计:522.11万元或者589.94万元
(4)建筑物市场价值=1643.02+2376-522.11=3496.91(万元)(在出让合同约定建筑用地使用权期间届满需要无偿收回建设用地使用权时,对收回的建筑物给予补偿前提下)或者3429.08万元(在出让合同约定建筑用地使用权期间届满需要无偿收回建设用地使用权时,对收回的建筑物不予补偿前提下)。