(1)计算2013年10月1日的再次抵押价值
再次抵押价值=未设立法定优先受偿权下的价值-(已抵押贷款余额/社会一般贷款成数)-拖欠的建设工程价款-其他法定优先受偿款。
①2013年10月1日未设立法定优先受偿款下的市场价值
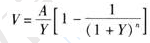
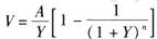
抵押目的估价遵循谨慎原则,在用收益法评估时,年净收益应采用较保守估计值500万元,收益期限为:40-5=35(年),利用公式:

可得2013年10月1日未设立法定优先受偿权下的市场价值为:

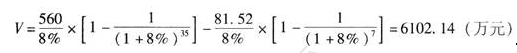
②求解已抵押贷款余额
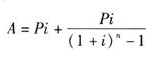
利用公式:

可得:

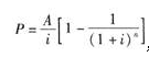
利用公式:

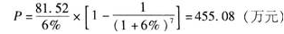
可得已抵押贷款余额:

③2013年10月1日再次抵押价值=5827.28-455.08/0.5-0=4917.12(万元)。
(2)求解正常市场条件下带抵押合同的购买价格(购买者购买后按原偿还方式承担还款义务方式)

另一种解法:

(3)计算正常市场条件下带抵押合同的购买价格(购买者一次性偿还剩余贷款后购买方式)
利用公式

可得,2013年10月1日未设立法定优先受偿权下的市场价值为:

(万元),又已抵押贷款余额

(万元)。则购买者一次性偿还剩余贷款后购买价格为:6526.56-455.08=6071.48万元。