首页
考研
最新考研题库
中外美术史23新版
建筑类
二级建造师
一级建造师
一级造价工程师
监理工程师
安全工程师
一级消防工程师
消防设施操作员
医学类
主治类
执业药师
护师(初级)资格证考试
主管护师(中级)资格证考试
护士资格证考试
医师类
中药学类
金融类
基金从业资格
银行从业资格
证券从业资格
期货从业资格
银行招聘考试
财会类
初级经济师
中级经济师
初级会计师
中级会计师
注册会计师
税务师
资产评估师
教师类
中学教师笔试
小学教师笔试
幼儿教师笔试
幼儿结构化面试
幼儿专业面试
中小学结构化面试
学历提升
成考(专升本)
成考(高起本、高起专)
自考
网校课程
登录
注册好礼
我的主页
我的提问
我的回答
退出
当前位置:
首页
>
房地产估价原理与方法
>
案例题 5年前,甲方出地、乙方出资合作建设一幢写字楼。甲方当时提供的土地面积为1000㎡、使用期限为50年。合作建设的写
分析
案例题 5年前,甲方出地、乙方出资合作建设一幢写字楼。甲方当时提供的土地面积为1000㎡、使用期限为50年。合作建设的写字楼建筑面积为5000㎡,建设期为1年。根据甲乙双方约定,建成后的写字楼建筑面积中2000㎡归甲方所有,3000㎡由乙方使用20年,使用期满后无偿归甲方所有。2年前,甲方将其所有的2000㎡与丙方签订了16年的租赁合同,合同约定租金每2年支付一次,支付时间为第2年末,支付标准为1000元/㎡,且合同期内租金不变。目前市场上类似写字楼的正常年租金为500元/㎡,年租金递增率为2%,运营费用率为30%,出租率为100%。现在,乙方有意收购甲方在该写字楼中的全部权益,甲方也乐意出售。假设该类房地产的报酬率为8%,请计算乙方收购甲方权益的合理价格。
正确答案
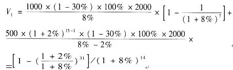
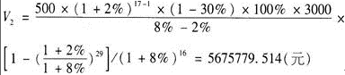
甲方权益的合理价格包含两部分:一是甲方2000㎡的收益价值,在价值时点之后14年内采用租约租金计算,在14年后的31年间(50年-5年-14年)采用市场租金计算;二是乙方3000㎡建筑面积29年(50年-5年-16年)的收益价值。
(1)甲方2000㎡的收益价值V1为为:
=7288918.083+4350013.621=11638931.7(元)。
(2)乙方3000㎡建筑面积29年的收益价值V2为:
(3)甲方权益的合理价格=V1+V2=17314711.21(元)。
查看解析
搜索
相关试题
单选
因公共利益的需要征收处于正常生产经营中企业的房屋,该房屋占用范围内的建设用地使用权为划拨性质,对该企业给予的补偿不包括( )。
A A.该房屋占用范围内的建设地使用权价值的补偿 B B.搬迁后可继续使用的机器设备价值的补偿 C C.因征收房屋造成的企业搬迁、临时安置的补偿 D D.因征收房屋造成的企业停产停业损失的补偿 E
查看
单选
关于估价依据选取或应用的说法,正确的是( )。
A A.估价依据应根据估价对象和估价结果来选取 B B.《房地产估价规范》应作为估价依据,且其对估价的要求是最低要求 C C.在估价报告中予以说明的情况下,对估价委托人提供的作为估价依据的资料可不审慎检查 D D.估价报告中的估价师声明和估价假设都是一种估价依据 E
查看
单选
关于估价结果形成和确定的说法,错误的是( )。
A A.估价结果可能受注册房地产估价师的专业水平和职业道德的影响 B B.注册房地产估价师不应在估价之前征求估价委托人对估价结果的意见 C C.注册房地产估价师不应在出具报告之前与估计委托人讨论估价结果 D D.合理的估价结果与估价对象在市场上的成交价格应一致 E
查看
单选
相邻房地产的权利人应正确处理相邻关系,相邻关系的产生是因房地产具有( )。
A A.易受限制 B B.独一无二 C C.相互影响 D D.不可移动 E
查看
单选
下列对某宗房地产状况的描述中,不属于交通条件描述的是( )。
A A.该房地产附近有一条收费道路,轿车通行费为每辆10元 B B.该房地产一面临街,所临街道为居住区级道路 C C.该房地产距公交车站约500米,平均每隔6分钟有一辆公交车经过 D D.该房地产附近有社会停车场,停车位数量为600个 E
查看
单选
利用收益法或假设开发法评估房地产的投资价值,采用的报酬率或折现率应是( )。
A A.典型投资者所要求的社会一般报酬率 B B.典型投资者所要求的社会最高报酬率 C C.特定投资者所要求的最低报酬率 D D.特定投资者所要求的最高报酬率 E
查看
单选
某人承租了一商业房地产,租期为3年,每年年末支付租金。该房地产在3年租期内的净租金为50万元/年,同期市场净租金为65万元/年,报酬率为7%,该承租人权益价值为
A A.39.36 B B.45.00 C C.131.22 D D.170.58 E
查看
单选
某房地产的土地面积为3000㎡,容积率为3,市场上类似房地产的价格为4200元/㎡,成本法测算的土地重置单价为4800元/㎡、建筑物重置单价为3000元/㎡。该
A A.2340 B B.3780 C C.4140 D D.5220 E
查看
单选
下列影响房地产价格的因素中,会导致房地产价格下降的因素是( )。
A A.控制土地供应量 B B.增加城镇居民可支配收入 C C.增加房地产保有环节税收 D D.提高城市化水平 E
查看
单选
实际估价中,评价某建筑物的新旧程度时,不需要考虑的实物因素是( )。
A A.建筑规模 B B.建筑物年龄 C C.维修养护情况 D D.工程质量 E
查看
刷题小程序
热门试卷
2021年房地产估价师《房地产估价原理与方法》真题精选
2022年房地产估价师《房地产估价原理与方法》真题精选
2023年房地产估价师《房地产估价原理与方法》真题精选
房地产估价师《房地产估价原理与方法》真题精选1
房地产估价师《房地产估价原理与方法》真题精选2
房地产估价师《房地产估价原理与方法》真题精选3
房地产估价师《房地产估价原理与方法》真题精选4
房地产估价师《房地产估价原理与方法》真题精选5