分析

问答题 某地区政府部门建设一个面向公众服务的综合性网络应用系统,主要包括机房建设、网络和主机平台建设以及业务应用系统开发,某监理公司承担了该项目的全过程监理任务。在工程项目的实施过程中,发生了如下事件:
事件1:在监理合同签订后,由于工期紧张,建设单位要求承建单位提前进行应用系统需求调研与分析,同时向监理单位提出对需求调研与分析过程进行质量把关的要求。在此情况下,监理单位为满足建设单位的要求,决定由参加本项目的现场实施工作的监理工程师编写监理规划并直接报送建设单位,监理规划的部分内容提纲如下:
1. 工程概况
2. 监理的范围、内容与目标
3. 工程专业的特点
4. 监理依据、程序、措施及制度
5. 监理控制的要点目标
6. 监理工具和设施
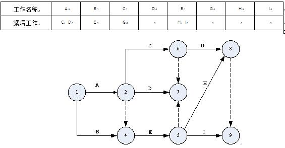
事件2:机房建设子项工程的承建单位按照要求,将其根据下表给定的逻辑关系绘制的双代号网络计划(如下图所示)提交给监理单位审核。



事件3:在实施监理工作之前,监理单位与建设单位就"进度控制程序"的实施原则进行了充分沟通并达成一致意见。确定监理单位采用的进度控制工作程序从监理单位审查承建单位的工程进度计划开始,然后对计划进行跟踪检查、分析(与计划目标的偏离程度),并根据执行情况采取相应的措施。
【问题1】(5分)
在事件1中,你认为监理单位在监理规划编制方面是否有不妥之处?为什么?
【问题2】(5分)
如果你是本项目的监理工程师,请指出事件2中的绘图错误(在以下选项中选择;错选则本题不得分;少选得部分分)。
A. 节点编号有误 B. 有循环回路 C. 有多个起始节点
D. 有多个终止节点 E. 不符合给定逻辑关系
【问题3】(5分)
根据事件3中确定的"进度控制程序"的实施原则,把下列进度控制的工作按照正确的顺序通过下面给出的框图联系起来(将工作序号恰当地填写到框图中),形成进度控制工作程序图。



① 基本实现计划目标。
② 按进度计划组织实施。
③ 承建单位编制工程总进度计划,填写《工程总进度计划》报审表。
④ 承建单位编制单体工程或阶段作业进度计划,填写《项目进度分解计划报审表》。
⑤ 总监理工程师审查。
⑥ 总监理工程师签发监理通知,指示承建单位采取调整措施。
⑦ 严重偏离计划目标。
⑧ 监理工程师对进度实施情况进行跟踪检查、分析。
⑨ 承建单位编制下一期计划。

正确答案
【问题1】(5分)
监理规划应该由总监理工程师组织编写、签发。
"工程专业的特点"、"监理控制的要点目标"这两项内容不应包括在监理规划的内容里,应该在监理细则中描述。
监理规划中应该有"监理项目部的组织结构与人员"方面的内容。
【问题2】(5分,每选对一个得1分,全部选择出来得5分,但多选、错选均不得分)
针对如下选项,如何选择?
A. 结点编号有误 B. 有循环回路 C. 有多个起始结点
D. 有多个终止结点 E. 不符合给定逻辑关系
答案: D E
【问题3】(5分)

查看解析

相关试题

刷题小程序
信息系统监理师题库小程序