1.计算该4个月完成的清单子目的合同价款。
答:(1)4月份完成的清单子目的合同价款= 1200万元;
(2)5月份完成的清单子目的合同价款=3510- 1200 =2310(万元);
(3)6月份完成的清单子目的合同价款=6950-3510 =3440(万元);
(4)7月份完成的清单子目的合同价款=9840-6950=2890(万元)。
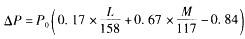
2.计算该4个月各月的价格调整金额。
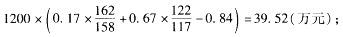
答:(1)4月份的价格调整金额为:

(2)5月份的价格调整金额为:

(3)6月份的价格调整金额为:

(4)7月份的价格调整金额为:

3.计算6月份实际应拨付给承包人的工程款金额。
(列出计算过程。计算过程保留四位小数,计算结果保留两位小数。)
答:6 月份应扣预付款= (3440 -110 +30 +391. 01)×l0% =378. 10(万元);
6 月份应扣质量保证金= (3440 -110 +30 +391.01)×5% = 187. 55 (万元);
6月份实际应拨付给承包人的工程款金额为:
3440 -110+30 +391.01 -378. 10 -187. 55 =3185. 36(万元)。