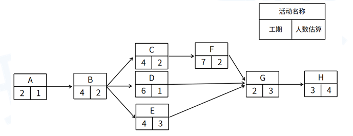
【问题1】项目的工期为22天,关键路径为ABCFGH,活动E最晚开始时间为第13天(假设项目开始时间为“0”),依据是根据关键路径法反推出活动E的LS为13天。
【问题2】(1)由题意可知EV=A+B+C+1/3D+1/2E=800+3200+3200+800+2400=10400元。
(2)PV=?A+B+3/4C+1/2D+3/4E=800+3200+2400+1200+3600=11200元;
AC=9800元;
SV=EV-PV=10400-11200=-800元;
CV=EV-AC=10400-9800=600元;
目前项目绩效情况为进度滞后,成本节约。
【问题3】项目的时标网络图如下:

本项目在不改变活动安排下,最少需要人数为6人,资源峰值发生在6-10日期间。
在不影响工期的前提下,可将E活动向后移动,可移动至12-17日期间,避开与D活动的重合,目前项目所需最小人数为5人。