首页
考研
最新考研题库
中外美术史23新版
建筑类
二级建造师
一级建造师
一级造价工程师
监理工程师
安全工程师
一级消防工程师
消防设施操作员
医学类
主治类
执业药师
护师(初级)资格证考试
主管护师(中级)资格证考试
护士资格证考试
医师类
中药学类
金融类
基金从业资格
银行从业资格
证券从业资格
期货从业资格
银行招聘考试
财会类
初级经济师
中级经济师
初级会计师
中级会计师
注册会计师
税务师
资产评估师
教师类
中学教师笔试
小学教师笔试
幼儿教师笔试
幼儿结构化面试
幼儿专业面试
中小学结构化面试
学历提升
成考(专升本)
成考(高起本、高起专)
自考
网校课程
登录
注册好礼
我的主页
我的提问
我的回答
退出
当前位置:
首页
>
(结构) 基础考试一级
>
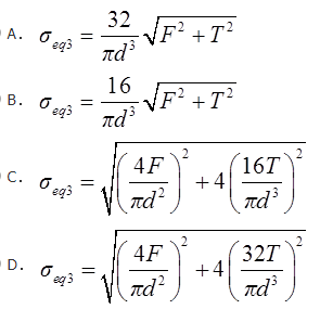
单选题 图示直径为d的圆轴,承受轴向拉力F和扭矩T。按第三强度理论,截面危险的相当应力σeq3为( )。
单选
单选题 图示直径为d的圆轴,承受轴向拉力F和扭矩T。按第三强度理论,截面危险的相当应力σeq3为( )。
A A
B B
C C
D D
E E
正确答案
C
查看解析
搜索
相关试题
单选
设f(x)为偶函数,g(x)为奇函数,则下列函数中为奇函数的是( )。
A f[g(x)] B f[f(x)] C g[f(x)] D g[g(x)] E
查看
单选
若∫f(x)dx=F(x)+C,则∫xf(1-x^2)dx=( )。
A F(1-x^2)+C B -(1/2)F(1-x^2)+C C (1/2)F(1-x^2)+C D -(1/2)F(x)+C
查看
单选
单选题 下列等式中不成立的是( )。
A A B B C C D D E E
查看
单选
单选题
A A B B C C D D E E
查看
单选
单选题
A A B B C C D D E E
查看
单选
单选题 下列级数中,发散的是( )。
A A B B C C D D E E
查看
单选
单选题 设随机变量x的分布函数为 则数学期望E(X)等于( )。
A A B B C C D D E E
查看
单选
单选题 在图示平面力系中,己知:力F1=F2=F3=10N,a=1m,力偶的转向如图所示,力偶距的大小为M1=M2=10N·m。则力系向O点简化的主矢、主距为(
A A B B C C D D E E
查看
单选
单选题 图示截面对z轴的惯性矩Iz为( )。
A A B B C C D D E E
查看
单选
单选题 在图示4种应力状态中,最大切应力τmax数值最大的应力状态是( )。
A A B B C C D D E E
查看
刷题小程序
热门试卷
2017年注册结构工程师《公共基础考试》真题
2018年注册结构工程师《公共基础考试》真题
2019年注册结构工程师《公共基础考试》真题
2020年注册结构工程师《公共基础考试》真题
2021年注册结构工程师《公共基础考试》真题
2022年注册结构工程师《公共基础考试》真题
2022延考年注册结构工程师《公共基础考试》真题
2023年注册结构工程师《公共基础考试》真题
2024年注册结构工程师《公共基础考试》真题