首页
考研
最新考研题库
中外美术史23新版
建筑类
二级建造师
一级建造师
一级造价工程师
监理工程师
安全工程师
一级消防工程师
消防设施操作员
医学类
主治类
执业药师
护师(初级)资格证考试
主管护师(中级)资格证考试
护士资格证考试
医师类
中药学类
金融类
基金从业资格
银行从业资格
证券从业资格
期货从业资格
银行招聘考试
财会类
初级经济师
中级经济师
初级会计师
中级会计师
注册会计师
税务师
资产评估师
教师类
中学教师笔试
小学教师笔试
幼儿教师笔试
幼儿结构化面试
幼儿专业面试
中小学结构化面试
学历提升
成考(专升本)
成考(高起本、高起专)
自考
网校课程
登录
注册好礼
我的主页
我的提问
我的回答
退出
当前位置:
首页
>
电气工程师公共基础(基础考试)
>
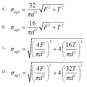
单选题 图示直径为d的圆轴,承受轴向拉力F和扭矩T。按第三强度理论,截面危险的相当应力σeq3为( )。
单选
单选题 图示直径为d的圆轴,承受轴向拉力F和扭矩T。按第三强度理论,截面危险的相当应力σeq3为( )。
A A
B B
C C
D D
E E
正确答案
C
查看解析
搜索
相关试题
单选
单选题 下列等式中不成立的是( )。
A A B B C C D D E E
查看
单选
设f(x)为偶函数,g(x)为奇函数,则下列函数中为奇函数的是( )。
A f[g(x)] B f[f(x)] C g[f(x)] D g[g(x)] E
查看
单选
单选题
A A B B C C D D E E
查看
单选
单选题
A A B B C C D D E E
查看
单选
若∫f(x)dx=F(x)+C,则∫xf(1-x^2)dx=( )。
A F(1-x^2)+C B -(1/2)F(1-x^2)+C C (1/2)F(1-x^2)+C D -(1/2)F(x)+C
查看
单选
若x=1是函数y=2x^2+ax+1的驻点,则常数a等于( )。
A 2 B -2 C 4 D -4
查看
单选
单选题 设向量α与向量β的夹角θ=π/3,模|α|=1,|β|=2,则模|α+β|等于( )
A A B B C C D D E E
查看
单选
微分方程y″=sinx的通解y等于( )。
A -sinx+C1+C2 B -sinx+C1x+C2 C -cosx+C1x+C2 D sinx+C1x+C2
查看
单选
设函数f(x),g(x)在[a,b]上均可导(a<b),且恒正,若f′(x)g(x)+f(x)g′(x)>0,则当x∈(a,b)时,下列不等式中成立的是( )。
A [f(x)/g(x)]>[f(a)/g(b)] B [f(x)/g(x)]>[f(b)/g(b)] C f(x)g(x)>f(a)g(a) D f(x)g(x)>f(b)g(b)
查看
单选
由曲线y=lnx,y轴与直线y=lna,y=lnb(b>a>0)所围成的平面图形的面积等于( )。
A lnb-lna B b-a C e^b-e^a D e^b+e^a E
查看
刷题小程序
热门试卷
2017年电气工程师《公共基础》真题
2018年电气工程师《公共基础》真题
2019年电气工程师《公共基础》真题
2020年电气工程师《公共基础》真题
2021年电气工程师《公共基础》真题
2022年电气工程师《公共基础》真题
2023年电气工程师《公共基础》真题
2024年电气工程师《公共基础》真题