首页
考研
最新考研题库
中外美术史23新版
建筑类
二级建造师
一级建造师
一级造价工程师
监理工程师
安全工程师
一级消防工程师
消防设施操作员
医学类
主治类
执业药师
护师(初级)资格证考试
主管护师(中级)资格证考试
护士资格证考试
医师类
中药学类
金融类
基金从业资格
银行从业资格
证券从业资格
期货从业资格
银行招聘考试
财会类
初级经济师
中级经济师
初级会计师
中级会计师
注册会计师
税务师
资产评估师
教师类
中学教师笔试
小学教师笔试
幼儿教师笔试
幼儿结构化面试
幼儿专业面试
中小学结构化面试
学历提升
成考(专升本)
成考(高起本、高起专)
自考
网校课程
登录
注册好礼
我的主页
我的提问
我的回答
退出
当前位置:
首页
>
西药学专业(一)
>
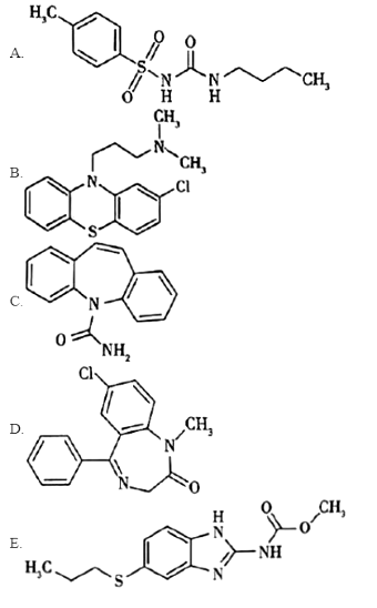
配伍选择题 本身具有治疗作用,在体内代谢生成的环氧化物仍具有活性的药物是( )。
单选
配伍选择题 本身具有治疗作用,在体内代谢生成的环氧化物仍具有活性的药物是( )。
A A
B B
C C
D D
E E
正确答案
C
查看解析
搜索
相关试题
单选
关于调血脂药瑞舒伐他汀钙的生物半衰期为19小时的说法,正确的是( )。
A 瑞舒伐他汀钙的药效下降一半需要19小时 B 瑞舒伐他汀钙被吸收一半需要19小时 C 瑞舒伐他汀钙的一半被肾脏排出体外需要19小时 D 瑞舒伐他汀钙血药浓度下降一半需要19小时 E 瑞舒伐他汀钙与血浆蛋白结合率下降一半需要19小时
查看
单选
在药品一致性评价中,关于生物等效性研究基本要求的说法,错误的是( )。
A 对于口服常释制剂,通常需要进行空腹和餐后等效性试验 B 受试者通常应涵盖不同的年龄阶段 C 通常推荐采用单次给药的药代动力学方法进行研究 D 通常选用原研产品代为参比制剂 E 用于两种性别的药物,受试者应有适当的性别比例
查看
单选
噻嗪类利尿药的作用靶点是( )。
A 盐皮质激素受体 B Na^+-Cl^-协转受体 C 钠-葡萄糖协转运蛋白-2 D 肾小管上皮Na^+通道 E β肾上腺素受体
查看
单选
仅供无破损皮肤用的外用制剂是( )。
A 软膏剂 B 冲洗剂 C 搽剂 D 涂剂 E 乳膏剂
查看
单选
蒽环类抗肿瘤药引起心脏毒性的机制是( )。
A 干扰钾离子通道而延长QT间期,导致心律失常 B 产生脂质过氧化反应,促进心肌中活性氧的生成,导致心肌损伤 C 增加心肌耗氧量导致供氧不足,诱导心肌损伤 D 阻滞钙离子通道,减弱心肌收缩力,诱发心脏停搏 E 抑制心肌Na^+,K^+-ATP酶导致细胞失钾,诱发心律失常
查看
单选
关于热原性质的说法,错误的是( )。
A 热原磷脂结构上连接有多糖,能溶于水 B 超声波不能破坏热原,但活性炭可以吸附热原 C 180℃~200℃干热2小时可彻底破坏热原 D 在蒸馏时,热原可随水蒸气雾滴进入蒸馏水中 E 热原体积较小(1nm~5nm),用一般滤器不能滤除
查看
单选
含有儿茶酚结构的药物,如肾上腺素(化学结构如下),进入体内后会很快被代谢,该代谢反应是( )。
A 儿茶酚胺-O-乙酰化 B 儿茶酚胺结构的水解 C 儿茶酚胺-N甲基化 D 儿茶酚胺结构的还原 E 儿茶酚胺-O-甲基化
查看
单选
生物技术药物包括蛋白/多肽类、多糖类及核酸类药物等,属于生物技术药物的是( )。
A 注射用阿奇霉素脂质体 B 注射用利培酮微球 C 棕榈酸帕里哌酮纳米晶注射剂 D 注射用紫杉醇白蛋白结合型纳米粒 E 曲妥珠单抗注射液
查看
单选
DNA的一级结构是指( )。
A 碱基顺序 B 染色质 C 核小体 D 碱基配对 E 超螺旋
查看
单选
左氧氟沙星口服给药的药动学参数有:Tmax约为2小时,AUC约为30hug/ml,Cl约为160ml/min,Cmax约为5ug/ml。仅反映患者体内药物消除速
A t1/2和Cmax B Cl和t1/2 C Cmax和Tmax D AUC和Cl E Tmax和AUC
查看
刷题小程序
热门试卷
2017年《药学专业知识一》真题
2018年《药学专业知识一》真题
2019年《药学专业知识一》真题
2020年《药学专业知识一》真题
2021年《药学专业知识一》真题
2022年《药学专业知识一》真题
2022年执业药师延考《药学专业知识(一)》真题
2023年执业药师《药学专业知识一》估分(考生回忆版)
2023年执业药师《药学专业知识一》真题
2024年执业药师《药学专业知识一》估分(考生回忆版)
2025年执业药师《药学专业知识一》真题