(1)应该用林地期望价法进行评估。评估对象是1800亩的杨树林林地,且题目条件中给出了具体的收益与支出,适用林地期望价法。
林地期望价法以实现森林永续利用为前提,并假定每个轮伐期林地上的收益相同,支出也相同,从无林地造林开始进行计算,将无穷多个轮伐期的净收益全部折为现值累加求和作为拟评估林地资产评估值。
(2)主伐时杨原木净收益A1
=销售总收入-木材经营成本-木材生产经营利润
=销售总收入-伐区设计费-直接采伐成本-运输成本-销售费用及管理费用-不可预见费-木材生产经营利润
=900-7÷30%-180-20-900×(5%+2%)-180×15%
=586.67(元/立方米)
主伐时杨综合材净收益A2
=销售总收入-木材经营成本-木材生产经营利润
=销售总收入-伐区设计费-直接采伐成本-运输成本-销售费用及管理费用-不可预见费-木材生产经营利润
=800-7÷60%-180-20-800×(5%+2%)-180×15%
=505.33(元/立方米)
主伐净收益
Au=15×(30%×586.67+60%×505.33)=7187.99(元/亩)
(3)间伐期杨综合材净收益Aa(元/立方米)
=销售总收入-木材经营成本-木材生产经营利润
=销售总收入-伐区设计费-直接采伐成本-运输成本-销售费用及管理费用-不可预见费-木材生产经营利润
=700-20-200-20-700×(5%+2%)-200×15%
=381(元/立方米)
间伐期杨综合材净收益Aa=2×381=762(元/亩)
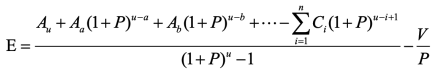
(4)每亩林地的评估值为:

=8546.70(元)
该林场的评估值为:1800×8546.70=15384060(元)