首页
考研
最新考研题库
中外美术史23新版
建筑类
二级建造师
一级建造师
一级造价工程师
监理工程师
安全工程师
一级消防工程师
消防设施操作员
医学类
主治类
执业药师
护师(初级)资格证考试
主管护师(中级)资格证考试
护士资格证考试
医师类
中药学类
金融类
基金从业资格
银行从业资格
证券从业资格
期货从业资格
银行招聘考试
财会类
初级经济师
中级经济师
初级会计师
中级会计师
注册会计师
税务师
资产评估师
教师类
中学教师笔试
小学教师笔试
幼儿教师笔试
幼儿结构化面试
幼儿专业面试
中小学结构化面试
学历提升
成考(专升本)
成考(高起本、高起专)
自考
网校课程
登录
注册好礼
我的主页
我的提问
我的回答
退出
当前位置:
首页
>
(银行招聘) 职业能力测验
>
单选题
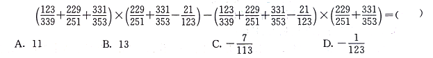
单选
单选题
A A
B B
C C
D D
E E
正确答案
C
查看解析
搜索
相关试题
单选
单选题
A A B B C C D D E E
查看
单选
移植组织器官从而让病患的生命得以延续,这是现代医学认可并使用的治疗方法。现代基因技术可以让一个新的人体组织独自在培养皿中成长,待其满足条件后,再移植到病患身体上
A 组织器官的培养技术能够减少组织器官移植中的风险,提高移植成功率 B 目前,人体移植器官仍然是以从他人处获得合适配型方式为主 C 利用自身细胞培养健康器官从而让身体恢复的方法正在秘密进行 D 现代基因技术努力的方向是利用人体细胞培养属于自己的组织器官
查看
单选
单选题 根据规律填入问号处的图形是( )。
A A B B C C D D E E
查看
单选
单选题 根据规律填入问号处的图形是( )。
A A B B C C D D E E
查看
单选
单选题 根据规律填人问号处的图形是()。
A A B B C C D D E E
查看
单选
根据规律,填人问号处的数字是()
A 44 B 42 C 43 D 41
查看
单选
某高校今年录取的文理生中,男生人数比女生人数多,理科生比文科生多。则由此可以判断以下说法一定正确的是( )。
A 理科男生比文科女生人数多 B 文科男生一定多于文科女生 C 文科男生一定多于理科女生 D 理科男生一定多于理科女生
查看
单选
12, 30, 60, 90, 90, ( )
A 65 B 120 C 80 D 45
查看
单选
有三名新毕业的博士生加入到某高校,该高校的七个学院(甲、乙、丙、丁、戊、己、庚)中,只有三个学院能够分配到名额,且每个学院最多只能分配到一个名额,能够被分配到名
A 乙和丙 B 甲和乙 C 丙和戊 D 甲和庚
查看
单选
有专家提出,早餐对一个人的健康很重要,无论多忙,都要吃早餐。以下( )项成立,最能支持专家的观点。
A 人们不吃早餐是因为刚起床没胃口 B 很多上班的人没时间吃早餐 C 吃早餐能提高学习、工作效率 D 长期不吃早餐会使人患上胆结石
查看
刷题小程序
热门试卷
2019年《中国银行》(秋招)校园招聘真题
2020年《中国银行》(秋招)校园招聘真题
2020年《中国银行》(春招)校园招聘真题
2021年《中国银行》(秋招)校园招聘真题
2021年《中国银行》(春招)校园招聘真题
2022年《中国银行》(秋招)校园招聘真题
2022年《中国银行》(春招)校园招聘真题
2023年《中国银行》校园招聘真题
2024年《中国银行》(秋招)校园招聘真题
2024年《中国银行》(春招)校园招聘真题
2025年《中国银行》校园招聘真题
2019年《工商银行》(秋招)校园招聘真题
2019年《工商银行》(春招)校园招聘真题