首页
考研
最新考研题库
中外美术史23新版
建筑类
二级建造师
一级建造师
一级造价工程师
监理工程师
安全工程师
一级消防工程师
消防设施操作员
医学类
主治类
执业药师
护师(初级)资格证考试
主管护师(中级)资格证考试
护士资格证考试
医师类
中药学类
金融类
基金从业资格
银行从业资格
证券从业资格
期货从业资格
银行招聘考试
财会类
初级经济师
中级经济师
初级会计师
中级会计师
注册会计师
税务师
资产评估师
教师类
中学教师笔试
小学教师笔试
幼儿教师笔试
幼儿结构化面试
幼儿专业面试
中小学结构化面试
学历提升
成考(专升本)
成考(高起本、高起专)
自考
网校课程
登录
注册好礼
我的主页
我的提问
我的回答
退出
当前位置:
首页
>
期货投资分析
>
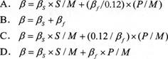
单选题 某证券基金将总资金M的一部分投资于一个股票组合。这个股票组合的2 值为2 s,占用资金S。剩余资金投资于股指期货
单选
单选题 某证券基金将总资金M的一部分投资于一个股票组合。这个股票组合的2 值为2 s,占用资金S。剩余资金投资于股指期货,保证金比率设为12%,股指期货占用的资金为P。股指期货价格对于沪深300指数的2 值设为2 ?。则股票组合和股指期货整个投资组合的总2 值为( )。
A A
B B
C C
D D
E E
正确答案
A
查看解析
搜索
相关试题
单选
当前,沪深300成长指数涨幅较沪深300价值指数大,银行间市场同业拆借利率逐步走高,则可以推测当前市场状况是( )。
A A: 经济滞涨、货币政策从紧 B B: 经济衰退、货币政策宽松 C C: 经济繁荣、货币政策从紧 D D: 经济复苏、货币政策宽松
查看
单选
某国债期货的面值为100元、息票率为6%,全价为99元,半年付息一次,计划付息的现值为2.96元。若无风险利率为5%,则6个月后到期的该国债期货理论价值约为(
A A: 98.47 B B: 98.77 C C: 97.44 D D: 101.51
查看
单选
构成美元指数的外汇品种中,权重占比最大的是( )。
A A: 英镑 B B: 日元 C C: 欧元 D D: 澳元
查看
单选
若国债期货市场价格低于其理论价格,不考虑交易成本,宜选择的套利策略是( )。
A A: 买入国债现货和期货 B B: 买入国债现货,卖出国债期货 C C: 卖出国债现货和期货 D D: 卖出国债现货,买入国债期货
查看
单选
根据表2,若投资者已卖出10份看涨期权A,现担心价格变动风险,采用标的资产S和同样标的看涨期权B来对冲风险,使得组合Delta和Gamma均为中性,则相关操作为
A A: 买入10份看涨期权B,卖空21份标的资产 B B: 买入10份看涨期权B,卖空10份标的资产 C C: 买入20份看涨期权B,卖空21份标的资产 D D: 买入20份看涨期权B,卖空10份标的资产
查看
单选
标的资产为不支付红利的股票,当前价格为30元,已知1年后该股票价格或为37.5元,或为25元。假设无风险利率为8%,连续复利,计算对应1年期,执行价格为25元的
A A: 7.23 B B: 6.54 C C: 6.92 D D: 7.52
查看
单选
对于固定利率支付方来说,在利率互换合约签订时,互换合约价值( )。
A A: 小于零 B B: 不确定 C C: 大于零 D D: 等于零
查看
单选
若中证500指数为8800点,指数年股息率为3%,无风险利率为6%,根据持有成本模型,则6个月后到期的该指数期货合约理论价格为( )点。
A A: 9240 B B: 8933 C C: 9068 D D: 9328
查看
单选
根据线性回归模型的基本假定,随机误差项应是随机变量,且满足( )。
A A: 自相关性 B B: 异方差性 C C: 与被解释变量不相关 D D: 与解释变量不相关
查看
单选
点价交易合同签订后,基差买方判断期货价格处于下行通道,则合理的操作是( )。
A A: 等待点价操作时机 B B: 进行套期保值 C C: 尽快进行点价操作 D D: 卖出套期保值
查看
刷题小程序
热门试卷
期货从业《期货投资分析》真题精选1
期货从业《期货投资分析》真题精选2
期货从业《期货投资分析》真题精选3
期货从业《期货投资分析》真题精选4
期货从业《期货投资分析》真题精选5
期货从业《期货投资分析》真题精选6