首页
考研
最新考研题库
中外美术史23新版
建筑类
二级建造师
一级建造师
一级造价工程师
监理工程师
安全工程师
一级消防工程师
消防设施操作员
医学类
主治类
执业药师
护师(初级)资格证考试
主管护师(中级)资格证考试
护士资格证考试
医师类
中药学类
金融类
基金从业资格
银行从业资格
证券从业资格
期货从业资格
银行招聘考试
财会类
初级经济师
中级经济师
初级会计师
中级会计师
注册会计师
税务师
资产评估师
教师类
中学教师笔试
小学教师笔试
幼儿教师笔试
幼儿结构化面试
幼儿专业面试
中小学结构化面试
学历提升
成考(专升本)
成考(高起本、高起专)
自考
网校课程
登录
注册好礼
我的主页
我的提问
我的回答
退出
当前位置:
首页
>
期货投资分析
>
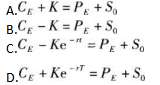
单选题 标的不支付红利的欧式期权的执行价格为K,资产期初价格为S0,到期期限为t,无风险利率为r,则看涨期权价格CE和看
单选
单选题 标的不支付红利的欧式期权的执行价格为K,资产期初价格为S0,到期期限为t,无风险利率为r,则看涨期权价格CE和看跌期权价格PE之间的平价关系为( )。
A A
B B
C C
D D
E E
正确答案
D
查看解析
搜索
相关试题
单选
根据判断,下列相关系数的数值有误的是( )。
A 1.25 B -0.86 C 0 D 0.78
查看
单选
投资者买入一个看涨期权,执行价格为25元,期权费为4元。同时,卖出一个标的资产和到期日均相同的看涨期权,执行价格为40元,期权费为2.5元。如果到期日标的资产的
A 8.5 B 13.5 C 16.5 D 23.5
查看
单选
当前沪深300指数为3300,投资者利用3个月后到期的沪深300股指期货合约进行期现套利。按单利计,无风险年利率为5%,红利年收益率为1%,套利成本为20个指数
A 【3293,3333】 B 【3333,3373】 C 【3412,3452】 D 【3313,3353】
查看
单选
指数化投资是一种被动型的投资策略,其最终目的为达到优化投资组合( )。
A 与市场基准指数的跟踪误差最小 B 收益最大化 C 风险最小 D 收益稳定
查看
单选
联合国粮农组织公布,2019年11月世界粮食库存消费比降至21%。其中“库存消费比”是指( )的百分比值。
A 期末库存与当期消费量 B 期初库存与当期消费量 C 当期消费量与期末库存 D 当期消费量与期初库存
查看
单选
( )是指将一组数据按照从小到大的顺序排序后,处于该组数据中间位置的数值。
A 方差 B 中位数 C 平均数 D 四分位数
查看
单选
衍生品市场的投机交易方式日益多元化,包括单边单品种的投机交易、波动率交易和指数化交易等。其中的波动率交易( )。
A 最常使用的工具是期权 B 通常只能做空波动率 C 通常只能做多波动率 D 属于期货价差套利策略
查看
单选
下列选项中,属于敏感性分析的是( )。
A 股票组合经过股指期货对冲后,若大盘下跌40%,则组合净值仅下跌5% B 当前“15附息国债16”的久期和凸性分别是8.42和81.32 C 在随机波动率模型下,“50ETF购9月3.10”明日的跌幅为95%的可能性不超过70% D 若利率下降500个基点,指数下降30%,则结构化产品的发行方将面临4000万元的亏损
查看
单选
在得到ARMA模型的参数后,应对参数的估计结果进行诊断与检验,其中参数估计的显著性检验通过( )完成,而残差序列的随机性是用( )完成。
A F检验;Q检验 B t检验;F检验 C F检验;t检验 D t检验;Q检验
查看
单选
某资产管理机构发行了—款具有保本结构的权益类结构化产品,该产品的主要条款如表所示: 假设产品即将发行时1年期的无风险利率是4.5%,为了保证产品能够实现完全保本
A 95 B 95.3 C 95.7 D 96.2
查看
刷题小程序
热门试卷
期货从业《期货投资分析》模考试卷1
期货从业《期货投资分析》模考试卷2
期货从业《期货投资分析》模考试卷3
期货从业《期货投资分析》模考试卷4
期货从业《期货投资分析》模考试卷5
期货从业《期货投资分析》模考试卷6
期货从业《期货投资分析》模考试卷7
期货从业《期货投资分析》模考试卷8
期货从业《期货投资分析》模考试卷9
期货从业《期货投资分析》模考试卷10
期货从业《期货投资分析》预测卷1
期货从业《期货投资分析》预测卷2
期货从业《期货投资分析》预测卷3
期货从业《期货投资分析》预测卷4
期货从业《期货投资分析》预测卷5