1.利用资本资产定价模型,计算优先股和普通股的资金成本。
本题考查的是资本资产定价模型。
(1)优先股的资金成本=12%/(1-2%)×100%=12.24%;
(2)普通股的资金成本=4%+1.2×(11%-4%)=12.40%。
【解析】按照资本资产定价模型法,普通股资金成本的计算公式为:Ks=Rf+β(Rm-Rf)。其中,Ks是普通股资金成本,Rf是社会无风险投资收益率,β是项目的投资风险系数,Rm是市场投资组合预期收益率。
优先股资金成本的计算公式为:KP=DP/(P-F)。其中,KP是优先股的资金成本,P是优先股的发行价格,F是优先股发行费,DP是公司每年支付的优先股股利。
2.该项目的加权资金成本是多少
本题考查的是加权资金成本计算。
(1)债务资金成本=7%×(1-15%)=5.95%;
(2)加权资金成本=(4000×12.24%+16000×12.40%+20000×5.95%)/(4000+16000+20000)×100%=9.16%。
3.根据分段法计算企业价值是多少
本题考查的是企业价值计算。
P1=1000/(1+10%)+1200/(1+10%)^2+1500/(1+10%)^3+2000/(1+10%)^4=4393.83(万元);
P2=2000×(1+3%)/(10%-3%)/(1+10%)^4=20100.11(万元);
企业价值=4393.83+20100.11=24493.94(万元)。
【解析】企业价值的评估方法主要分为三大类:第一类为收益法,收益法包括收益资本化法和未来收益折现法两种具体方法,第二类为市场法,市场法主要分为参考企业比较法和并购案例比较法;第三类为成本法,也称资产基础法。其中,分段法的基本思想是将持续经营的企业收益预测分为前后两段。对于不稳定阶段的企业预期收益采用逐年预测,而后逐年累加。对于相对稳定阶段的企业收益,则可根据企业预期收益稳定程度,按照企业年金收益,或者按照企业收益变化率的变化规律对所对应的企业预期收益形式进行折现和资本化处理。
如果在不稳定期结束之后,各年收益率较为稳定,则分段法的公式为:

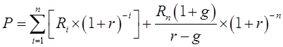
如果在不稳定期结束之后,各年收益率保持稳定增长,假设从(n+1)年起的后段,企业预期年收益按固定比率g增长,则分段法的公式可写成:
4.咨询公司应当提示企业在资产证券化过程中,应当注意的问题有哪些
本题考查的是资产证券化过程中应当注意的问题。
需注意的问题:
(1)必须由一定的资产支撑来发行证券,且其未来的收入流可预期。
(2)即资产的所有者必须将资产出售给SPV,通过建立一种风险隔离机制,在该资产与发行人之间筑起一道防火墙,即使其破产,也不影响支持债券的资产,即实现破产隔离。
(3)必须建立一种风险隔离机制,将该资产与SPV的资产隔离开来,以避免该资产受到SPV破产的威胁。
【解析】最重要的有三个方面的问题:
(1)必须由一定的资产支撑来发行证券,且其未来的收入流可预期。
(2)即资产的所有者必须将资产出售给SPV,通过建立一种风险隔离机制,在该资产与发行人之间筑起一道防火墙,即使其破产,也不影响支持债券的资产,即实现破产隔离。
(3)必须建立一种风险隔离机制,将该资产与SPV的资产隔离开来,以避免该资产受到SPV破产的威胁。
后两个方面的问题正是资产证券化的关键之所在。其目的在于减少资产的风险,提高该资产支撑证券的信用等级,减低融资成本,同时有力地保护投资者的利益。