首页
考研
最新考研题库
中外美术史23新版
建筑类
二级建造师
一级建造师
一级造价工程师
监理工程师
安全工程师
一级消防工程师
消防设施操作员
医学类
主治类
执业药师
护师(初级)资格证考试
主管护师(中级)资格证考试
护士资格证考试
医师类
中药学类
金融类
基金从业资格
银行从业资格
证券从业资格
期货从业资格
银行招聘考试
财会类
初级经济师
中级经济师
初级会计师
中级会计师
注册会计师
税务师
资产评估师
教师类
中学教师笔试
小学教师笔试
幼儿教师笔试
幼儿结构化面试
幼儿专业面试
中小学结构化面试
学历提升
成考(专升本)
成考(高起本、高起专)
自考
网校课程
登录
注册好礼
我的主页
我的提问
我的回答
退出
当前位置:
首页
>
中级建筑与房地产经济
>
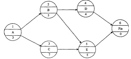
不定项选择题 某工程项目的进度计划如下列单代号网络图所示,时间单位为周。 下列工作B的时间参数计算结果中,正确的为( )
单选
不定项选择题 某工程项目的进度计划如下列单代号网络图所示,时间单位为周。
下列工作B的时间参数计算结果中,正确的为( )。
A 自由时差为2周
B 自由时差为l周
C 总时差为0周
D 总时差为2周
正确答案
D
查看解析
搜索
相关试题
单选
人们购置房地产将房地产作为一种价值形式储存,在合适的时候再出售或出租,这种需求是( )。
A 生产性需求 B 消费性需求 C 投资性需求 D 投机性需求
查看
单选
下列关于联合审图和联合验收的说法,错误的是( )。
A 将消防、人防、技防等技术审查并入施工图设计文件审查,相关部门再进行技术审查 B 实行规划、土地、消防、人防、档案等事项限时联合验收 C 统一竣工验收图纸和验收标准,统一出具验收意见 D 对于验收涉及的测绘工作,实行“一次委托、联合测绘、成果共享”
查看
单选
建设单位在办理工程质量监督注册手续时,需提供( )。
A 投标文件 B 专项施工方案 C 建筑工程设计许可 D 施工图设计文件审查报告和批准书
查看
单选
个人投资兴建的建筑产品主要是( )。
A 住宅 B 商场 C 体育场 D 学校
查看
单选
房地产市场的区域性决定了不同房地产市场的( )。
A 周期性波动 B 不完全竞争性 C 层次性 D 多样性
查看
单选
京沪高速铁路工程项目成为国内经济效益最好的高铁线路,是因为重视了工程项目需求中的( )。
A 战略需求 B 明确需求 C 现实需求 D 社会需求
查看
单选
建设项目环境影响报告书、环境影响报告表自批准之日起满( )年,建设项目方开工建设的,其环境影响报告书、环境影响报告表应当报原审批部门重新审核。
A 1 B 3 C 5 D 6
查看
单选
将工程网络计划分为双代号网络计划和单代号网络计划的依据是( )。
A 工作性质 B 表达形式 C 目标 D 层级
查看
单选
下列关于成本加酬金合同的说法中,正确的是( )。
A 适用于工期较短的项目 B 适用于紧急抢险、救灾以及施工技术特别复杂的建设工程 C 适用于工程内容明确的情况 D 酬金金额必须事前固定,不得调整
查看
单选
根据《招标投标法实施条例》规定,如潜在投标人或者其他利害关系人对招标文件有异议,应当在投标截止时间的( )日前提出。
A 10 B 15 C 20 D 25
查看
刷题小程序
热门试卷
中级经济师《建筑经济专业知识与实务》模拟1
中级经济师《建筑经济专业知识与实务》模拟2
中级经济师《建筑经济专业知识与实务》模拟3
中级经济师《建筑经济专业知识与实务》模拟4
中级经济师《建筑经济专业知识与实务》模拟5
中级经济师《建筑经济专业知识与实务》模拟6
中级经济师《建筑经济专业知识与实务》模拟7
中级经济师《建筑经济专业知识与实务》模拟8
中级经济师《建筑经济专业知识与实务》预测1
中级经济师《建筑经济专业知识与实务》预测2
中级经济师《建筑经济专业知识与实务》预测3
2025年中级经济师《建筑经济专业知识与实务》模拟卷1
2025年中级经济师《建筑经济专业知识与实务》模拟卷2
2025年中级经济师《建筑经济专业知识与实务》模拟卷3
2025年中级经济师《建筑经济专业知识与实务》模拟卷4