首页
考研
最新考研题库
中外美术史23新版
建筑类
二级建造师
一级建造师
一级造价工程师
监理工程师
安全工程师
一级消防工程师
消防设施操作员
医学类
主治类
执业药师
护师(初级)资格证考试
主管护师(中级)资格证考试
护士资格证考试
医师类
中药学类
金融类
基金从业资格
银行从业资格
证券从业资格
期货从业资格
银行招聘考试
财会类
初级经济师
中级经济师
初级会计师
中级会计师
注册会计师
税务师
资产评估师
教师类
中学教师笔试
小学教师笔试
幼儿教师笔试
幼儿结构化面试
幼儿专业面试
中小学结构化面试
学历提升
成考(专升本)
成考(高起本、高起专)
自考
网校课程
登录
注册好礼
我的主页
我的提问
我的回答
退出
当前位置:
首页
>
安全生产管理
>
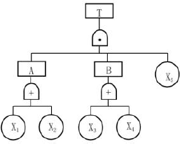
某企业委托某安全咨询机构对本企业的安全管理人员进行安全评价方法专题培训,其中事故树为常见的分析事故发生原因的安全评价方法
多选
某企业委托某安全咨询机构对本企业的安全管理人员进行安全评价方法专题培训,其中事故树为常见的分析事故发生原因的安全评价方法。培训过程中给出一事故树,如下图所示,该事故树的最小割集包括( )。
A {X1、X2、X3、X4、X5}
B {X1、X3、X5}
C {X1、X4、X5}
D {X2、X5}
E {X2、X3、X4、X5}
正确答案
BC
查看解析
搜索
相关试题
单选
华安医院改造施工过程中,完成焊接作业后未将高温焊渣妥善处理,导致引燃周围装修材料,火势未能及时控制持续蔓延,共造成医护人员及患者共计 19 人死亡,同时,由于燃
A 坍塌 B 物体打击 C 火灾 D 其他伤害
查看
单选
特种作业人员必须经专门的安全技术培训并考核合格,取得中华人民共和国特种作业操作证后,方可上岗作业。下列关于特种作业人员安全培训的说法,正确的是( )。
A 特种作业人员应当接受与其所从事的特种作业相应的安全技术理论培训即可 B 离开特种作业岗位6个月以上的特种作业人员,应当重新进行实际操作考试,合格后方可上岗 C 特种作业操作证每3年复审1次,达到条件可延长至每5年1次 D 特种作业操作证申请复审前应当参加不少于16学时必要的安全培训
查看
单选
某化工企业在开展重大危险源评估过程中,发现由于人的认识能力有限,有时不能完全认识危险源和危险,即使认识了现有的危险源,随着技术的进步又会产生新的危险源。受技术、
A 事故因果连锁理论 B 能量意外释放理论 C 轨迹交叉理论 D 系统安全理论
查看
单选
根据《特种设备安全监察条例》,下列关于电梯使用过程中安全管理的表述,错误的是( )。
A 电梯的安装、改造、修理可以由电梯制造单位进行 B 电梯等为公众提供服务的特种设备运营使用单位,应当设置特种设备安全管理机构或者配备专职的安全管理人员 C 电梯应当至少每30日进行一次清洁、润滑、调整和检查 D 电梯维护保养单位应对其维护保养的电梯的安全性能负责
查看
单选
某企业定期安全生产检查过程中,发现存在众多事故隐患,但近两年并未发生过生产安全事故。某车间主任认为一些事故隐患可以不用治理,安全总监提出“事故隐患只要不消除,肯
A 偶然损失原则 B 安全第一原则 C 动态相关性原则 D 因果关系原则
查看
单选
某化工企业多年来积累了大量的安全生产数据。为直观的表达出多年来企业发生的一般事故、较大事故、重大事故、特别重大事故分别所占的比例,适用的统计图是( )。
A 百分条图 B 线图 C 散点图 D 直方图
查看
单选
某烟花爆竹建设项目安全设施设计完成后,生产经营单位应当向应急管理部门提出审查申请,并提交有关文件资料,下列资料中,不需要提交的是( )。
A 设计单位的设计资质证明文件 B 建设项目安全设施设计 C 建设项目审批、核准或者备案的文件 D 建设项目安全验收评价报告
查看
单选
某大型空分企业由于生产经营管理需要,新建D 级锅炉一台,购置低温液氮储槽汽车三台,车用氧气瓶6 只以及充装压力管道若干。根据特种设备使用管理的有关规定,关于特种
A 低温液氮储槽汽车,应当在特种设备购买地登记机关申请办理使用登记 B 新建D 级锅炉需要办理使用登记 C 压力管道应当以使用单位为对象向登记机关办理使用登记 D 车用氧气瓶应以瓶为单位进行使用登记
查看
单选
刘某是甲企业员工,2019 年被借调到乙企业,2020 年被借调到丙企业,2021年被借调到丁企业,在丁企业借调期因公负伤,则应当承担刘某2021 年工伤保险责
A 甲 B 乙 C 丙 D 丁
查看
单选
某企业主要负责人安排安全部门负责人李某组织本公司安全生产规章制度的制定工作。李某组织相关人员起草完成规章制度后,通过正式渠道征得了相关职能部门的意见,修改完成后
A 会签 B 签发 C 发布 D 培训
查看
刷题小程序
热门试卷
2022年中级注册安全工程师考试《安全生产管理》提分卷
2022年中级注册安全工程师考试《安全生产管理》模拟卷
2022年中级注册安全工程师考试《安全生产管理》预习卷
2021年中级注册安全工程师考试《安全生产管理》临考密训卷
2021年中级注册安全工程师考试《安全生产管理》临考冲刺卷(二)
2021年中级注册安全工程师考试《安全生产管理》临考冲刺卷(一)
2021年中级注册安全工程师考试《安全生产管理》模拟卷(二)
2021年中级注册安全工程师考试《安全生产管理》模拟卷(一)
2022年中级注册安全工程师考试《安全生产管理》临考冲刺卷(一)
中级注册安全工程师考试《安全生产管理》模拟1
中级注册安全工程师考试《安全生产管理》模拟2
中级注册安全工程师考试《安全生产管理》模拟3
中级注册安全工程师考试《安全生产管理》模拟4
中级注册安全工程师考试《安全生产管理》模拟5
中级注册安全工程师考试《安全生产管理》考试1