多选

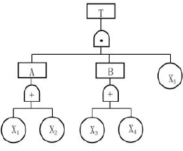
某企业委托某安全咨询机构对本企业的安全管理人员进行安全评价方法专题培训,其中事故树为常见的分析事故发生原因的安全评价方法。培训过程中给出一事故树,如下图所示,该事故树的最小割集包括( )。

A {X1、X2、X3、X4、X5}
B {X1、X3、X5}
C {X1、X4、X5}
D {X2、X5}
E {X2、X3、X4、X5}

正确答案
BC
查看解析

相关试题

单选
根据《危险化学品重大危险源监督管理暂行规定》,下列关于重大危险源备案材料、汇总信息报送的说法,正确的是( )。
A 县级人民政府应急管理部门应当每季度将辖区内的一级、二级、三级重大危险源备案材料报送至设区的市级人民政府应急管理部门 B 县级人民政府应急管理部门应当在每年1月31日前,将辖区内上一年度重大危险源的汇总信息报送至设区的市级人民政府应急管理部门 C 省级人民政府应急管理部门应当在每年1月31前,将辖区内上一年度重大危险源的汇总信息报送至应急管理部 D 设区的市级人民政府应急管理部门应当每半年将辖区内的一级重大危险源备案材料报送至省级人民政府应急管理部门
查看
单选
特种作业人员必须经专门的安全技术培训并考核合格,取得中华人民共和国特种作业操作证后,方可上岗作业。下列关于特种作业人员安全培训的说法,正确的是( )。
A 特种作业人员应当接受与其所从事的特种作业相应的安全技术理论培训即可 B 离开特种作业岗位6个月以上的特种作业人员,应当重新进行实际操作考试,合格后方可上岗 C 特种作业操作证每3年复审1次,达到条件可延长至每5年1次 D 特种作业操作证申请复审前应当参加不少于16学时必要的安全培训
查看
单选
某化工企业在开展重大危险源评估过程中,发现由于人的认识能力有限,有时不能完全认识危险源和危险,即使认识了现有的危险源,随着技术的进步又会产生新的危险源。受技术、
A 事故因果连锁理论 B 能量意外释放理论 C 轨迹交叉理论 D 系统安全理论
查看
单选
根据《特种设备安全监察条例》,下列关于电梯使用过程中安全管理的表述,错误的是( )。
A 电梯的安装、改造、修理可以由电梯制造单位进行 B 电梯等为公众提供服务的特种设备运营使用单位,应当设置特种设备安全管理机构或者配备专职的安全管理人员 C 电梯应当至少每30日进行一次清洁、润滑、调整和检查 D 电梯维护保养单位应对其维护保养的电梯的安全性能负责
查看
单选
为了规范安全生产责任保险工作,强化事故预防,切实保障投保的生产经营单位及有关人员的合法权益,高危行业领域的生产经营单位应当投保安全生产责任保险。根据《安全生产责
A 烟花爆竹生产企业 B 金属冶炼企业 C 锅炉制造企业 D 交通运输单位
查看
单选
某企业定期安全生产检查过程中,发现存在众多事故隐患,但近两年并未发生过生产安全事故。某车间主任认为一些事故隐患可以不用治理,安全总监提出“事故隐患只要不消除,肯
A 偶然损失原则 B 安全第一原则 C 动态相关性原则 D 因果关系原则
查看
单选
某金属冶炼公司注册安全工程师王某统计了公司十年来因事故造成的死亡和重伤人数,发现一共死亡1人,重伤5人。根据海因里希法则,可以推测十年来该金属冶炼公司发生的意外
A 6起 B 174起 C 1800起 D 1980起
查看
单选
某化工企业多年来积累了大量的安全生产数据。为直观的表达出多年来企业发生的一般事故、较大事故、重大事故、特别重大事故分别所占的比例,适用的统计图是( )。
A 百分条图 B 线图 C 散点图 D 直方图
查看
单选
某烟花爆竹建设项目安全设施设计完成后,生产经营单位应当向应急管理部门提出审查申请,并提交有关文件资料,下列资料中,不需要提交的是( )。
A 设计单位的设计资质证明文件 B 建设项目安全设施设计 C 建设项目审批、核准或者备案的文件 D 建设项目安全验收评价报告
查看
单选
某大型空分企业由于生产经营管理需要,新建D 级锅炉一台,购置低温液氮储槽汽车三台,车用氧气瓶6 只以及充装压力管道若干。根据特种设备使用管理的有关规定,关于特种
A 低温液氮储槽汽车,应当在特种设备购买地登记机关申请办理使用登记 B 新建D 级锅炉需要办理使用登记 C 压力管道应当以使用单位为对象向登记机关办理使用登记 D 车用氧气瓶应以瓶为单位进行使用登记
查看
刷题小程序
安全生产管理题库小程序