单选

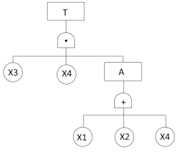
某矿山发生一起冒顶事故,死亡一人。安全管理人员绘制的冒顶事故树如下,其中:T——顶上事件,A——现场判断失误,X1——巷道环境恶劣,X2——敲帮问顶不够,X3——顶板破碎,X4——打钻工不安全行为。根据事故树分析方法,下列原因中,属于造成此次冒顶事故最基本原因的是()。

A {x1x2x4}
B {x3},{x4}
C {x3x4}
D {x1x2x3}

正确答案
C
查看解析

相关试题

单选
机械制造企业中,一台载重5吨的起重机经常吊运大型金属构件穿越车间,起重机的吊钩存在严重磨损现象,偶尔起升限制器故障,驾驶员偶尔存在未按操作规程操作的情况。下列危
A 正在运行的吊车 B 严重磨损的吊钩 C 未按操作规程操作的驾驶员 D 故障的起升限制器
查看
单选
为了加强安全生产工作,我国对若干具有较高生产安全风险的企业实行了安全生产许可制度。下列企业中,实行安全生产许可制度的是( )。
A 道路运输企业、危险化学品生产企业、民用爆炸物品生产企业 B 烟花爆竹生产企业、民用爆炸物品生产企业、食品加工企业 C 危险化学品生产企业、矿山企业、机械制造企业 D 石油天然气开采企业、建筑施工企业、危险化学品生产企业
查看
单选
越来越多的家用轿车安装了防碰撞安全系统,当系统判定即将发生碰撞时,如果驾驶员没有作出正确的反应,系统会自动制动并禁用加速踏板,从而避免发生碰撞或减轻碰撞的后果。
A 失误一安全功能 B 故障一安全功能 C 警报一安全功能 D 事后一安全功能
查看
单选
近年来,危化品事故仍时有发生。在对某起危化品事故的调查中发现,涉事企业的操作人员由于缺乏安全知识及操作经验,在进行危化品处理时,不知道正确的操作流程和安全注意事
A 基本原因 B 间接原因 C 直接原因 D 内部原因
查看
单选
江西一危险化学品公司在提高职工安全管理素质的安全管理培训过程中,提出“由于人的认识能力有限,有时不能完全认识危险源和危险,因此要时刻注意预防事故的发生”观点,该
A 海因里希因果连锁理论 B 系统安全理论 C 能量意外释放理论 D 事故频发倾向理论
查看
单选
某食品加工厂对厂区内危险源进行识别,由于危险源较多,该加工厂决定采取措施根除部分危险源,对不能根除的危险源降低到可接受程度,从而达到控制危险源,减少危险源总数的
A 现代因果连锁理论 B 能量意外释放理论 C 系统安全理论 D 事故频发倾向理论
查看
单选
根据安全生产原理及原则的内容,下列说法错误的是()。
A 某危险化学品企业结合职工素质和行业特点提出了生产要服从安全,违反操作规程一律待岗的红线,这种做法符合强制原理的安全第一原则 B 某老旧大型商业文化城设备老旧,为加强安全管理,企业每日开展全面的安全检查,发现隐患立即整改,这种做法符合系统原理的封闭原则 C 某化工企业负责人在考虑到风险、人员和体系时,把有经验的职工安排在重点岗位,取得执业证书的人员调到管理岗,这种做法符合系统原理的能级原则 D 某机械制造企业事故多发,企业主要负责人要求设备科购买设备时优先考虑到设备的先进性,从人的违章操作和设备的故障两个方面保证事故率的降低,该做法符合预防原理的本质安全化原则
查看
单选
从能量意外释放理论出发,预防伤害事故就是防止能量或危险物质的意外释放,防止人体与过量的能量或危险物质接触。下列关于工业生产中防止能量意外释放的屏蔽措施的说法中正
A 用水力采煤代替火药爆破采煤是用安全能源代替不安全能源,能够带来绝对的安全 B 限制露天爆破装药量以防止个别飞石伤人是防止能量积蓄 C 控制爆炸性气体浓度是限制能量 D 抽放煤体内瓦斯是开辟释放能量的渠道
查看
单选
某化工企业进行化学反应实验,为了降低反应过程中可能产生的爆炸风险,将反应试剂的投入量严格控制在安全范围内,并降低反应温度。根据能量意外释放理论,该事故防范对策属
A 限制能量 B 防止能量蓄积 C 控制能量释放 D 延缓能量释放
查看
单选
个性心理特征指一个人经常地、稳定地表现出来的心理特点,主要包括性格、气质、能力和情绪等。以下关于个性心理特征对人的行为影响的说法,错误的是()。
A 无论技术多么好的操作人员,如果没有良好的性格特征,也常常会发生事故 B 一个人的气质是先天的,后天的环境及教育对其改变是微小和缓慢的 C 情绪影响人的行为是在有意识的情况下进行的 D 处于兴奋状态时,人的思维与动作较快
查看
刷题小程序
安全生产管理题库小程序