首页
考研
最新考研题库
中外美术史23新版
建筑类
二级建造师
一级建造师
一级造价工程师
监理工程师
安全工程师
一级消防工程师
消防设施操作员
医学类
主治类
执业药师
护师(初级)资格证考试
主管护师(中级)资格证考试
护士资格证考试
医师类
中药学类
金融类
基金从业资格
银行从业资格
证券从业资格
期货从业资格
银行招聘考试
财会类
初级经济师
中级经济师
初级会计师
中级会计师
注册会计师
税务师
资产评估师
教师类
中学教师笔试
小学教师笔试
幼儿教师笔试
幼儿结构化面试
幼儿专业面试
中小学结构化面试
学历提升
成考(专升本)
成考(高起本、高起专)
自考
网校课程
登录
注册好礼
我的主页
我的提问
我的回答
退出
当前位置:
首页
>
安全生产管理
>
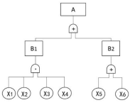
某企业对本单位的发生的一起事故A用事故树的方法去分析,分析后的事故树如下图。关于该起事故的说法中,正确的是( )。
单选
某企业对本单位的发生的一起事故A用事故树的方法去分析,分析后的事故树如下图。关于该起事故的说法中,正确的是( )。
A X1发生,则A事件必会发生
B X1、X2、X3、X4中有一个发生,则A事件必会发生
C X1、X2、X3、X4中有一个发生,X5、X6都发生,则A事件必会发生
D X5发生,则A事件必会发生
正确答案
D
查看解析
搜索
相关试题
单选
某机加工企业生产时出现电气故障,车间采取了临时停止作业的相关措施,电气故障修复过程不可避免的需要带电作业,电工肖某不慎触电,应急抢救措施正确的是( )。
A 应用干燥的钢丝绳套住触电者脱离电流 B 救援者最好穿导电鞋并切忌用手去拉触电者 C 待伤者神志清醒,应搀扶伤者远离作业区 D 在医务人员接替前,心肺复苏急救不能停止
查看
单选
某垃圾发电厂计划组织一次垃圾运输车坠坑应急演练。演练准备阶段成立了演练组机构,公司总经理担任领导小组组长,组建了策划与导调组、保障组、评估组、宣传组等小组,明确
A 策划与导调组 B 保障组 C 领导小组 D 评估组
查看
单选
应急管理是一个动态的过程,包括预防、准备、响应和恢复四个阶段。尽管在实际情况中这些阶段往往是交叉的,但每一阶段都有其明确的目标,而且每一阶段又是构筑在前一阶段的
A 应急预案演练是预防阶段内容 B 企业应急能力评估是准备阶段内容 C 开展公众安全教育是准备阶段内容 D 开展事故调查是应急响应阶段内容
查看
单选
安全操作规程是员工操作机器设备、调整仪器仪表和其他作业过程中,必须遵守的程序和注意事项。某机加工车间制定了《机加工车间安全操作规程》,下列选项中不符合安全作规程
A 工作前必须先把刀具、工件夹得牢固可靠 B 切下的切屑(特别是带状切屑)不要用手清除 C 必要时可以把工件放在机床床面上或产生运动的部分 D 吃刀时必须缓慢小心,以免损坏刀具或机床
查看
单选
甲市具有一级建筑资质的A企业承包了乙市的某建设项目。因工作量较大,按照合同要求,将部分工程分包给丙市的B企业和丁市的C企业,A企业分别与B、C企业签订了安全协议
A 甲市人民政府 B 乙市人民政府 C 丙市人民政府 D 丁市人民政府
查看
单选
某集团公司经营涵盖热力、矿山、化工等业务。为了提高安全生产管理水平,集团公司安全部门对已采取的安全技术措施进行了梳理。根据能量意外释放理论,关于防止能量意外释放
A 压力容器增加爆破片属于延缓释放能量 B 采用双重绝缘工具防止高压触电事故属于提高防护标准 C 重要设施安装避雷针属于防止能量蓄积 D 水力采煤代替炸药采煤属于开辟释放能量渠道
查看
单选
2022年某日13时30分左右,某施工隧道发生透水事故,致11名施工人员被困,次日11名被困人员已全部找到并确认遇难。事故另造成25人重伤,55人轻伤,经济损失
A 一般事故 B 较大事故 C 重大事故 D 特别重大事故
查看
单选
某大型化工厂新建一座储存量为35t的丙烯醛储罐,在该储罐周围还有一座储存量为20t的苯储罐和一座储存量为15t的液氨储罐(苯、液氨和丙烯醛的临界量分别为50t、
A 1 B 2 C 3 D 4
查看
单选
某民用爆炸物品生产单位发生一起爆炸事故,造成大量人员伤亡及财产损失。经统计,该起事故发生后,该企业共支付职工医疗费用37万元,丧葬及抚恤金270万元,停产损失3
A 1127 B 1327 C 1417 D 1447
查看
单选
2019年6月12日,某县一生产海绵的企业发生一起自燃火灾事故,事发当时造成2人死亡,吴某、王某、张某等5人重伤。6月15日,吴某因烧伤面积过大不治身亡;6月1
A 吴某死亡后,该企业应在7日内补报 B 王某死亡后,该企业应及时补报 C 张某死亡后,该企业应及时补报 D 张某死亡后,该企业应在7日内补报
查看
刷题小程序
热门试卷
2022年中级注册安全工程师考试《安全生产管理》提分卷
2022年中级注册安全工程师考试《安全生产管理》模拟卷
2022年中级注册安全工程师考试《安全生产管理》预习卷
2021年中级注册安全工程师考试《安全生产管理》临考密训卷
2021年中级注册安全工程师考试《安全生产管理》临考冲刺卷(二)
2021年中级注册安全工程师考试《安全生产管理》临考冲刺卷(一)
2021年中级注册安全工程师考试《安全生产管理》模拟卷(二)
2021年中级注册安全工程师考试《安全生产管理》模拟卷(一)
2022年中级注册安全工程师考试《安全生产管理》临考冲刺卷(一)
中级注册安全工程师考试《安全生产管理》模拟1
中级注册安全工程师考试《安全生产管理》模拟2
中级注册安全工程师考试《安全生产管理》模拟3
中级注册安全工程师考试《安全生产管理》模拟4
中级注册安全工程师考试《安全生产管理》模拟5
中级注册安全工程师考试《安全生产管理》考试1