首页
考研
最新考研题库
中外美术史23新版
建筑类
二级建造师
一级建造师
一级造价工程师
监理工程师
安全工程师
一级消防工程师
消防设施操作员
医学类
主治类
执业药师
护师(初级)资格证考试
主管护师(中级)资格证考试
护士资格证考试
医师类
中药学类
金融类
基金从业资格
银行从业资格
证券从业资格
期货从业资格
银行招聘考试
财会类
初级经济师
中级经济师
初级会计师
中级会计师
注册会计师
税务师
资产评估师
教师类
中学教师笔试
小学教师笔试
幼儿教师笔试
幼儿结构化面试
幼儿专业面试
中小学结构化面试
学历提升
成考(专升本)
成考(高起本、高起专)
自考
网校课程
登录
注册好礼
我的主页
我的提问
我的回答
退出
当前位置:
首页
>
建设工程施工管理
>
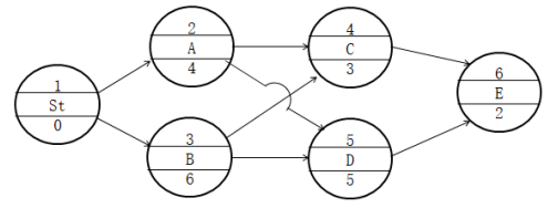
某工程单代号网络计划(时间:天)如下图所示,图中节点上下方数字分别表示相应工作代号和持续时间。时间参数计算正确的有( )
多选
某工程单代号网络计划(时间:天)如下图所示,图中节点上下方数字分别表示相应工作代号和持续时间。时间参数计算正确的有( )。
A LSB=0
B LSA=0
C FFD=0
D TFC=0
E LFE=13
正确答案
ACE
查看解析
搜索
相关试题
单选
关于项目参与各方项目管理的表述,下列选项中错误的是( )。
A 业主方的项目管理是整个项目管理的核心 B 建设项目工程总承包方的项目管理目标只包括项目的总投资目标 C 设计方的项目管理涉及项目整个实施阶段 D 供货方的项目管理主要在施工阶段
查看
单选
关于项目管理工作任务分工表特点的说法,正确的是( )。
A 每一个任务只能有一个协办部门 B 每一个任务只能有一个协办部门和一个配合部门 C 项目物业部门应在项目竣工后介入工作 D 项目管理工作任务分工表应作为组织设计文件的一部分
查看
单选
编制施工组织总设计涉及下列工作:①施工总平面图设计;②拟定施工方案;③编制施工总进度计划;④编制资源需求量计划;⑤计算主要工种工程的工程量。正确的编制程序是(
A ⑤-①-②-③-④ B ①-⑤-②-③-④ C ①-②-③-④-⑤ D ⑤-②-③-④-①
查看
单选
某项目部制定了钢结构深化设计、外立面施工工作流程,这些工作流程组织属于( )。
A 物质流程组织 B 管理工程流程组织 C 信息处理工程流程组织 D 施工工作流程组织
查看
单选
某土方工程采用单价合同方式,投标综合总价为100万元,土方单价为40元/m3,清单工程量为25000m3。现场实际完成经监理工程师确认的工程量为30000m3。
A 100 B 120 C 110 D 130
查看
单选
已知某挖土机挖土的一个工作循环需2min,每循环一次挖土0.5m3,时间利用系数K=0.85,则该机械的产量定额为( )m3/台班。
A 12.8 B 15 C 102 D 120
查看
单选
某施工企业采购一批材料,出厂价3200元/t,运杂费80元/t,运输中材料的损耗率为2%,保管费率为1%,则该批材料的单价应为( )元/t。
A 4120.8 B 3379.06 C 3378.40 D 4329.60
查看
单选
项目成本管理主要以下工作:①进行成本控制;②进行项目过程成本分析;③编制项目成本报告;④进行项目过程成本考核;⑤编制成本计划,确定成本实施目标。正确的工作程序是
A ⑤-②-①-③-④ B ⑤-①-②-④-③ C ①-⑤-②-③-④ D ⑤-①-③-②-④
查看
单选
某商品混凝土的目标产量是700m3,单价700元/m3,损耗率为4%;实际产量是650m3,单价为710元/m3,损耗率为3%。采用因素分析法进行分析,由于损耗
A 6760 B 4615 C 36400 D 29640
查看
单选
某工程在招标时,图纸、规范等准备不充分,招标方仅能制订一个估算指标,则在招标时宜采用成本加酬金合同形式中的( )。
A 成本加奖金合同 B 成本加固定费用合同 C 成本加固定比例费用合同 D 最大成本加费用合同
查看
刷题小程序
热门试卷
2022年二级建造师考试《建设工程施工管理》密训卷
2022年二级建造师考试《建设工程施工管理》冲刺卷(二)
2022年二级建造师考试《建设工程施工管理》冲刺卷(一)
2022年二级建造师考试《建设工程施工管理》模拟卷(三)
2022年二级建造师考试《建设工程施工管理》模拟卷(二)
2022年二级建造师考试《建设工程施工管理》模拟卷(一)
2022年二级建造师考试《建设工程施工管理》机考模拟演练卷(一)(符合2022年新版教材)
2022年二级建造师考试《建设工程施工管理》机考模拟演练卷(二)(符合2022年新版教材)
2022年二级建造师考试《建设工程施工管理》密训卷(符合2022年新版教材)
2022年二级建造师考试《建设工程施工管理》冲刺卷(二)(符合2022年新版教材)
二级建造师《建设工程施工管理》预测一
二级建造师《建设工程施工管理》预测二
二级建造师《建设工程施工管理》预测三
二级建造师《建设工程施工管理》预测四
二级建造师《建设工程施工管理》预测五