首页
考研
最新考研题库
中外美术史23新版
建筑类
二级建造师
一级建造师
一级造价工程师
监理工程师
安全工程师
一级消防工程师
消防设施操作员
医学类
主治类
执业药师
护师(初级)资格证考试
主管护师(中级)资格证考试
护士资格证考试
医师类
中药学类
金融类
基金从业资格
银行从业资格
证券从业资格
期货从业资格
银行招聘考试
财会类
初级经济师
中级经济师
初级会计师
中级会计师
注册会计师
税务师
资产评估师
教师类
中学教师笔试
小学教师笔试
幼儿教师笔试
幼儿结构化面试
幼儿专业面试
中小学结构化面试
学历提升
成考(专升本)
成考(高起本、高起专)
自考
网校课程
登录
注册好礼
我的主页
我的提问
我的回答
退出
当前位置:
首页
>
试验检测师(含助理)-公共基础
>
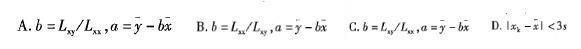
单选题 采用最小二乘法确定回归方程y=ax+b的常数项,正确的计算公式是( )。
单选
单选题 采用最小二乘法确定回归方程y=ax+b的常数项,正确的计算公式是( )。
A A
B B
C C
D D
E E
正确答案
A
查看解析
搜索
相关试题
单选
我国标准分为( )。
A A、 国家标准、专业标准、地方标准和企业标准 B B、 国家标准、行业标准、部门标准和内部标准 C C、 国家标准、行业标准、地方标准、团体标准和企业标准 D D、 国际标准、国家标准、部门标准和内部标准
查看
单选
现场评审是通过对申请人完成试验检测项目的实际能力、( )、质量保证体系和运转等情况的全面核查。
A A、检测机构申报材料与实际状况的符合性 B B、检测机构的管理水平 C C、上年度检测机构的工作情况 D D、上年度检测机构的业绩
查看
单选
《公路水运工程试验检测信用评价办法》中的试验检测机构的信用评价采用( )。
A A、综合评分制 B B、百分制 C C、定期检查累计扣分制 D D、随机检查累计扣分制
查看
单选
同一检测机构申请多项等级时,同一人所持的多个专业检测资格证书,可在不同的检测等级申报中使用,但不得超过( )。
A A、3次 B B、5次 C C、4次 D D、2次
查看
单选
最高管理者授权发布的质量方针中,不应该包括的内容是( )。
A A、质量目标 B B、为客户提供检验检测服务质量的承诺 C C、质量管理体系的目的 D D、遵循准则要求、持续改进管理体系的承诺
查看
单选
当已获得资质认定的检验检测机构,其组织机构、工作场所、关键人员、技术能力、管理体系等发生变化,资质认定部门对其是否满足资质认定条件进行现场确认的评审。属于( )
A A、首次评审 B B、其他评审 C C、复查评审 D D、变更评审
查看
单选
对检验检测机构资质认定评审的依据为( )。
A A、《检测和校准实验室能力认可准则》 B B、《公路水运工程试验检测信用评价办法》 C C、《检验检测机构资质认定评审准则》 D D、《公路水运工程试验检测管理办法》
查看
单选
修约下列数值至小数后一位:2.71828;57.65,修约后正确答案是( )。
A A、3.0;58.0 B B、2.8;57.7 C C、2.7;57.6 D D、3.0;57.6
查看
单选
按照《公路水运工程试验检测专业技术人员职业资格制度规定》规定,职业资格考试监督和检查工作应该由( )负责。
A A、交通运输部与人力资源社会保障部 B B、人力资源社会保障部 C C、交通运输部质量监督总站 D D、交通运输部职业资格中心
查看
单选
按照《检验检测机构资质认定管理办法》(质检总局令第163号)规定,此办法适用范围包括( ).
A A、从事科学实验、检验检测和校准活动的技术机构的实验室 B B、从事与认证有关的产品设计、产品、服务、过程或者生产加工场所的核查,并确定其符合规定要求的技术机构的检测机构 C C、一从事向社会出具具有证明作用的数据、结果的检验检测活动以及对检验检测机构实施资质认定和监督管理 D D、从事向社会曲具具有证明作用的数据和结果的检测机构
查看
刷题小程序
热门试卷
试验检测师(含助理)《公共基础》模拟1
试验检测师(含助理)《公共基础》模拟2
试验检测师(含助理)《公共基础》模拟3
试验检测师(含助理)《公共基础》模拟4
试验检测师(含助理)《公共基础》模拟5
试验检测师(含助理)《公共基础》模拟6
试验检测师(含助理)《公共基础》模拟7
试验检测师(含助理)《公共基础》考试1
试验检测师(含助理)《公共基础》考试2
试验检测师(含助理)《公共基础》考试3
试验检测师(含助理)《公共基础》考试4
试验检测师(含助理)《公共基础》押题卷1
试验检测师(含助理)《公共基础》押题卷2
试验检测师(含助理)《公共基础》押题卷3
试验检测师(含助理)《公共基础》押题卷4