首页
考研
最新考研题库
中外美术史23新版
建筑类
二级建造师
一级建造师
一级造价工程师
监理工程师
安全工程师
一级消防工程师
消防设施操作员
医学类
主治类
执业药师
护师(初级)资格证考试
主管护师(中级)资格证考试
护士资格证考试
医师类
中药学类
金融类
基金从业资格
银行从业资格
证券从业资格
期货从业资格
银行招聘考试
财会类
初级经济师
中级经济师
初级会计师
中级会计师
注册会计师
税务师
资产评估师
教师类
中学教师笔试
小学教师笔试
幼儿教师笔试
幼儿结构化面试
幼儿专业面试
中小学结构化面试
学历提升
成考(专升本)
成考(高起本、高起专)
自考
网校课程
登录
注册好礼
我的主页
我的提问
我的回答
退出
当前位置:
首页
>
中药学专业(一)
>
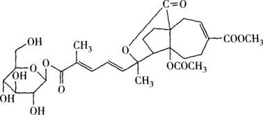
配伍选择题 化合物 的类型为
单选
配伍选择题 化合物
的类型为
A 醇苷
B 酯苷
C 氮苷
D 碳苷
E 酚苷
正确答案
B
查看解析
搜索
相关试题
单选
脂质体属于
A 被动靶向制剂 B 主动靶向制剂 C 栓塞靶向制剂 D 热敏靶向制剂 E 磁性靶向制剂
查看
单选
下面各项中,不属于姜黄药材性状特征的是
A 表面深黄色,有皱缩纹理和明显的环节 B 质坚实,不易折断 C 断面棕黄色至金黄色,角质样,有蜡样光泽 D 形成层环纹明显,维管束呈点状散在 E 气香特异,味苦、辛
查看
单选
某药材呈肾形,略扁,表面黑色、黑褐色或灰褐色,具细微网状皱纹,顶端圆钝,有一小突起,质硬,果皮与种子不易分离,气香,味辛、微苦。该药材是
A 蛇床子 B 补骨脂 C 女贞子 D 决明子 E 酸枣仁
查看
单选
善于调经止血、柔肝止痛的白芍炮制品是
A 炒白芍 B 酒白芍 C 白芍炭 D 醋白芍 E 土炒白芍
查看
单选
关于散剂分类和质量要求的说法,错误的是
A 有的散剂既可内服,又可外用 B 制备含有毒性药的散剂时,应采用配研法混匀并过筛 C 内服散剂应为细粉 D 儿科用及局部用散剂应为最细粉 E 除另有规定外,中药散剂通过六号筛的粉末重量不得少于90%
查看
单选
蜜炙后可矫正劣味、避免呕吐的药物是( )
A 款冬花 B 马兜铃 C 麻黄 D 瓜蒌皮 E 桑白皮
查看
单选
在碱液中呈黄色、通入空气后变为棕色的黄酮类化合物是
A 黄酮 B 黄酮醇 C 橙酮 D 查耳酮 E 二氢黄酮
查看
单选
栀子炒炭的炮制作用是
A 缓和苦寒之性 B 善于凉血止血 C 增强清热泻火的作用 D 行气力增强 E 解毒作用增强
查看
单选
天南星的药用部位是
A 鳞茎 B 块茎 C 根 D 根茎 E 根及根茎
查看
单选
在加工过程中,需要晒至半干后反复搓揉3~4次的是
A 桔梗 B 木香 C 地黄 D 党参 E 白术
查看
刷题小程序
热门试卷
执业药师《中药学专业知识一》模拟考试1
执业药师《中药学专业知识一》模拟考试2
执业药师《中药学专业知识一》模拟考试3
执业药师《中药学专业知识一》模拟考试4
执业药师《中药学专业知识一》模拟考试5
执业药师《中药学专业知识一》模拟考试6
执业药师《中药学专业知识一》模拟考试7
执业药师《中药学专业知识一》模拟考试8
执业药师《中药学专业知识一》模拟考试9
执业药师中药学《中药学专业知识一》模拟考试10
执业药师中药学考试《中药学专业知识一》模拟考试11
执业药师中药学考试《中药学专业知识一》模拟考试12
执业药师《中药学专业知识一》考试一
执业药师《中药学专业知识一》考试二
执业药师《中药学专业知识一》考试三