首页
考研
最新考研题库
中外美术史23新版
建筑类
二级建造师
一级建造师
一级造价工程师
监理工程师
安全工程师
一级消防工程师
消防设施操作员
医学类
主治类
执业药师
护师(初级)资格证考试
主管护师(中级)资格证考试
护士资格证考试
医师类
中药学类
金融类
基金从业资格
银行从业资格
证券从业资格
期货从业资格
银行招聘考试
财会类
初级经济师
中级经济师
初级会计师
中级会计师
注册会计师
税务师
资产评估师
教师类
中学教师笔试
小学教师笔试
幼儿教师笔试
幼儿结构化面试
幼儿专业面试
中小学结构化面试
学历提升
成考(专升本)
成考(高起本、高起专)
自考
网校课程
登录
注册好礼
我的主页
我的提问
我的回答
退出
当前位置:
首页
>
西药学专业(一)
>
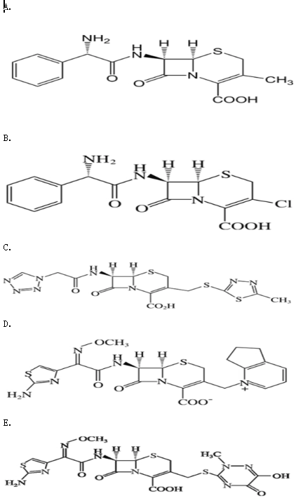
配伍选择题 第四代头孢菌素是在第三代的基础上3位引入季铵基团,能使头孢菌素类药物迅速穿透细菌的细胞壁,对大多数的革兰阳性
单选
配伍选择题 第四代头孢菌素是在第三代的基础上3位引入季铵基团,能使头孢菌素类药物迅速穿透细菌的细胞壁,对大多数的革兰阳性菌和革兰阴性菌有高度活性。属第四代头孢菌素的药物是()
A A
B B
C C
D D
E E
F F
G H
正确答案
D
查看解析
搜索
相关试题
单选
分子中含有酚羟基,遇光易氧化变质,需避光保存的药物是()
A 肾上腺素 B 维生素A C 苯巴比妥钠 D 维生素B2 E 叶酸
查看
单选
下列药物配伍或联用时,发生的现象属于物理配伍变化的是()
A 氯霉素注射液加入5%葡萄糖注射液中析出沉淀 B 多巴胺注射液与碳酸氢钠注射液配伍后,溶液逐渐变成粉红至紫色 C 阿莫西林与克拉维酸钾制成复方制剂时抗菌疗效最强 D 维生素B12注射液与维生素C注射液配伍时效价最低 E 甲氧苄啶与磺胺类药物制成复方制剂时抗菌疗效最强
查看
单选
高血压合并高血脂患者,服用下列药物数月后生化监测显示肝功能异常,推测导致其肝功能异常可能最大的药物是()
A 辛伐他汀 B 缬沙坦 C 氨氯地平 D 维生素E E 亚油酸
查看
单选
临床心血管治疗药物检测中,某药物浓度与靶器官中药物浓度相关性最大的生物样本是()
A 血浆 B 唾液 C 尿液 D 汗液 E 胆汁
查看
单选
下列属于生理性拮抗的是()
A 酚妥拉明与肾上腺素 B 肾上腺素拮抗组胺治疗过敏性休克 C 鱼精蛋白对抗肝素导致的出血 D 苯巴比妥导致避孕药失效 E 美托洛尔对抗异丙肾上腺素兴奋心脏
查看
单选
阿托品阻断M胆碱受体而不阻断N受体,体现了受体的性质是()
A 饱和性 B 特异性 C 可逆性 D 灵敏性 E 多样性
查看
单选
用作栓剂水溶性基质的是()
A 可可豆脂 B 甘油明胶 C 椰油脂 D 棕榈酸酯 E 混合脂肪酸甘油酯
查看
单选
在气雾剂中不要使用的附加剂是()
A 抛射剂 B 遮光剂 C 抗氧剂 D 润滑剂 E 潜溶剂
查看
单选
碱性药物的解离度与药物的pKa和液体pH的关系式为lg([B])/([HB+])=pH-pKa,某药物的pKa=8.4,在pH7.4生理条件下,以分子形式存在的
A 1% B 10% C 50% D 90% E 99%
查看
单选
氯丙嗪化学结构名()
A 2-氯-N、N-二甲基-10H-苯并哌唑-10-丙胺 B 2-氯-N、N-二甲基-10H-苯并噻唑-10-丙胺 C 2-氯-N、N-二甲基-10H-吩噻嗪-10-丙胺 D 2氯-N、N-二甲基-10H-噻嗪-10-丙胺 E 2氯-N、N-二甲基10H-哌嗪-10-丙胺
查看
刷题小程序
热门试卷
2017年《药学专业知识一》真题
2018年《药学专业知识一》真题
2019年《药学专业知识一》真题
2020年《药学专业知识一》真题
2021年《药学专业知识一》真题
2022年《药学专业知识一》真题
2022年执业药师延考《药学专业知识(一)》真题
2023年执业药师《药学专业知识一》估分(考生回忆版)
2023年执业药师《药学专业知识一》真题
2024年执业药师《药学专业知识一》估分(考生回忆版)
2025年执业药师《药学专业知识一》真题