首页
考研
最新考研题库
中外美术史23新版
建筑类
二级建造师
一级建造师
一级造价工程师
监理工程师
安全工程师
一级消防工程师
消防设施操作员
医学类
主治类
执业药师
护师(初级)资格证考试
主管护师(中级)资格证考试
护士资格证考试
医师类
中药学类
金融类
基金从业资格
银行从业资格
证券从业资格
期货从业资格
银行招聘考试
财会类
初级经济师
中级经济师
初级会计师
中级会计师
注册会计师
税务师
资产评估师
教师类
中学教师笔试
小学教师笔试
幼儿教师笔试
幼儿结构化面试
幼儿专业面试
中小学结构化面试
学历提升
成考(专升本)
成考(高起本、高起专)
自考
网校课程
登录
注册好礼
我的主页
我的提问
我的回答
退出
当前位置:
首页
>
建设工程项目管理
>
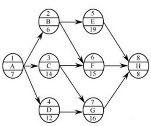
某工程单代号网络计划如下图所示(时间单位:天),下列说法错误的是( )。
单选
某工程单代号网络计划如下图所示(时间单位:天),下列说法错误的是( )。
A 工作E是非关键工作
B 工作B的自由时差为0
C 工作D的总时差为2天
D 工作F的最迟开始时间为21天
正确答案
D
查看解析
搜索
相关试题
单选
反映一个组织系统中各工作部门或各管理人员之间的指令关系的是( )。
A 组织结构模式 B 组织分工 C 管理职能分工 D 工作流程
查看
单选
根据《建设项目工程总承包管理规范》(GB/T50358—2017),工程总承包单位可以受业主委托,按合同约定对工程建设项目的( )等实行全过程或若干阶段的承包。
A 勘察、设计、施工、采购、试运行 B 决策、设计、施工 C 决策、设计、施工、采购 D 设计、施工、采购、试运行、运行管理
查看
单选
根据国际设施管理协会的界定,下列设施管理的内容中,属于物业运行管理的是()。
A 财务管理 B 空间管理 C 用户管理 D 维修管理
查看
单选
编制项目管理任务分工表时,在()基础上,定义项目经理和费用控制、进度控制、质量控制、合同管理、信息管理和组织与协调等主管工作部门或主管人员的工作任务。
A 确定项目管理的各项工作流程 B 分析项目管理合同结构模式 C 项目管理任务分解 D 分析组织管理方面存在的问题
查看
单选
某工程项目合同结构图如下所示,则该工程总承包单位采用的发包模式属于( )方式。
A CM发包 B 分包 C 再分包 D 转包
查看
单选
下列不属于业主方进度目标的是( )。
A 工厂建成可以投入生产 B 道路建成可以通车 C 办公楼可以启用 D 旅馆竣工验收合格
查看
单选
根据《建设工程项目管理规范》(GB/T50326—2017),项目管理实施规划的编制依据不包括( )。
A 项目管理规划大纲 B 类似项目经验资料 C 项目资源和条件 D 有价值的历史数据
查看
单选
下列成本计划中,施工承包企业将承接的高速公路项目的目标总成本分解为桥梁工程成本、隧道工程成本、道路工程成本等子项形成的成本计划,属于()。
A 按成本组成编制成本计划 B 按项目结构编制成本计划 C 按工程实施阶段编制成本计划 D 按工程性质编制成本计划
查看
单选
根据物资采购管理程序,物资采购首先应( )。
A 进行采购策划,编制采购计划 B 明确采购产品或服务的基本要求 C 进行市场调查,选择合格的产品供应单位 D 采用招标或协商等方式确定供应单位
查看
单选
按费用构成要素划分,建筑安装工程费可分为人工费、材料费、施工机具使用费、企业管理费、利润、规费和税金。下列属于企业管理费的是()
A 办公费 B 折旧费 C 住房公积金 D 燃料动力费
查看
刷题小程序
热门试卷
《建设工程项目管理》模考1
《建设工程项目管理》模考2
《建设工程项目管理》模考3
《建设工程项目管理》模考4
《建设工程项目管理》模考5
《建设工程项目管理》考试1
《建设工程项目管理》考试2
《建设工程项目管理》考试3
《建设工程项目管理》考试4
一级建造师考试《建设工程项目管理》模拟题库1
一级建造师考试《建设工程项目管理》模拟题库2
一级建造师考试《建设工程项目管理》模拟题库3
一级建造师考试《建设工程项目管理》模拟题库4
一级建造师《建设工程项目管理》押题密卷1
一级建造师《建设工程项目管理》押题密卷2