首页
考研
最新考研题库
中外美术史23新版
建筑类
二级建造师
一级建造师
一级造价工程师
监理工程师
安全工程师
一级消防工程师
消防设施操作员
医学类
主治类
执业药师
护师(初级)资格证考试
主管护师(中级)资格证考试
护士资格证考试
医师类
中药学类
金融类
基金从业资格
银行从业资格
证券从业资格
期货从业资格
银行招聘考试
财会类
初级经济师
中级经济师
初级会计师
中级会计师
注册会计师
税务师
资产评估师
教师类
中学教师笔试
小学教师笔试
幼儿教师笔试
幼儿结构化面试
幼儿专业面试
中小学结构化面试
学历提升
成考(专升本)
成考(高起本、高起专)
自考
网校课程
登录
注册好礼
我的主页
我的提问
我的回答
退出
当前位置:
首页
>
西药学专业(一)
>
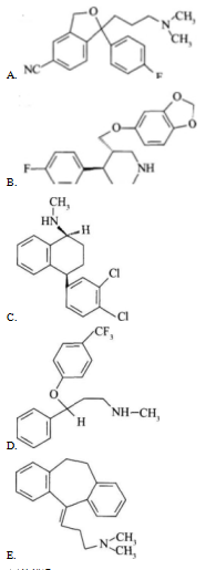
最佳选择题 结构中具有两个手性中心,临床上用(-)-(3S,4R)-异构体,体内不能脱甲基代谢,代谢物也无活性的5-HT
单选
最佳选择题 结构中具有两个手性中心,临床上用(-)-(3S,4R)-异构体,体内不能脱甲基代谢,代谢物也无活性的5-HT再摄取抑制剂抗抑郁药物是
A A
B B
C C
D D
E E
正确答案
B
查看解析
搜索
相关试题
单选
最佳选择题 大部分抗抑郁药物在体内发生脱甲基代谢,代谢产物有活性。在体内既能发生O-脱甲基代谢,又能发生N-脱甲基代谢的5-羟色胺再摄取抑制剂类抗抑郁药是
A A B B C C D D E E
查看
单选
西咪替丁、酮康唑均可以与血红蛋白的铁离子络合,形成可逆作用,因此对CYP具有可逆抑制作用。与血红蛋白中的铁离子螯合的结构是
A 吡啶 B 咪唑 C 叔胺 D 呋喃 E 苯并二噁烷
查看
单选
有关表面活性剂的错误表述是
A 硫酸化物属于阴离子型表面活性剂 B 吐温类可以作为矫味剂 C 泊洛沙姆属于非离子型表面活性剂 D 阳离子型表面活性剂具有杀菌、消毒作用 E 卵磷脂属于两性离子型表面活性剂
查看
单选
血糖可促进该药刺激胰岛素释放,在有葡萄糖存在时,促进胰岛素分泌量比无葡萄糖时约增加50%,临床主要用于降低餐后高血糖的非磺酰脲类药物是
A 格列美脲 B 格列喹酮 C 瑞格列奈 D 米格列奈 E 那格列酮
查看
单选
17β-羧酸衍生物,体内水解成羧酸失活,避免皮质激素全身作用的药物是
A 丙酸倍氯米松 B 丙酸氟替卡松 C 布地奈德 D 氨茶碱 E 沙丁胺醇
查看
单选
某胶囊剂的平均装量为0.1g,它的装量差异限度为
A ±10% B ±15% C ±7.5% D ±6% E ±5%
查看
单选
以下为左氧氟沙星的部分报告书 从氧氟沙星检验报告书中判断以下不合格的项目是
A 紫外光谱 B 溶出度 C 重量差异 D 其他总质 E 含量测定
查看
单选
气雾剂的抛射剂应用较多,发展前景好,主要用于吸入气雾剂的是
A 氢氟烷烃 B 碳氢化合物 C 氮气 D 氯氟烷烃 E 二氧化碳
查看
单选
要求进行无菌检查的剂型是
A 注射剂 B 吸入粉雾剂 C 片剂 D 经皮给药制剂 E 洗剂
查看
单选
关于托洛沙酮的性质和代谢,描述错误的是
A 分子内含氨基甲酸酯结构 B 选择性地抑制MAO-A活性 C 阻断5-HT和NA的代谢 D 适用于治疗神经官能性抑郁症、躁狂抑郁性精神病人的抑郁症发作 E 为选择性5-羟色胺再摄取抑制药
查看
刷题小程序
热门试卷
《药学专业知识一》模拟1
《药学专业知识一》模拟2
《药学专业知识一》模拟3
《药学专业知识一》模拟4
《药学专业知识一》模拟5
《药学专业知识一》模拟6
《药学专业知识一》模拟7
《药学专业知识一》模拟8
《药学专业知识一》模拟9
《药学专业知识一》模拟10
《药学专业知识一》模拟11
《药学专业知识一》模拟12
执业药师《西药学专业知识(一)》预测一
执业药师《西药学专业知识(一)》预测二
执业药师《西药学专业知识(一)》预测三