首页
考研
最新考研题库
中外美术史23新版
建筑类
二级建造师
一级建造师
一级造价工程师
监理工程师
安全工程师
一级消防工程师
消防设施操作员
医学类
主治类
执业药师
护师(初级)资格证考试
主管护师(中级)资格证考试
护士资格证考试
医师类
中药学类
金融类
基金从业资格
银行从业资格
证券从业资格
期货从业资格
银行招聘考试
财会类
初级经济师
中级经济师
初级会计师
中级会计师
注册会计师
税务师
资产评估师
教师类
中学教师笔试
小学教师笔试
幼儿教师笔试
幼儿结构化面试
幼儿专业面试
中小学结构化面试
学历提升
成考(专升本)
成考(高起本、高起专)
自考
网校课程
登录
注册好礼
我的主页
我的提问
我的回答
退出
当前位置:
首页
>
西药学专业(一)
>
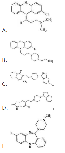
配伍选择题 含有硫杂蒽结构的抗精神病药氯普噻吨的结构是
单选
配伍选择题 含有硫杂蒽结构的抗精神病药氯普噻吨的结构是
A A
B B
C C
D D
E E
正确答案
A
查看解析
搜索
相关试题
单选
地西泮与奥沙西泮的化学结构比较,奥沙西泮的极性明显大于地西泮的原因是
A 奥沙西泮的分子中存在酰胺基团 B 奥沙西泮的分子中存在烃基 C 奥沙西泮的分子中存在氟原子 D 奥沙西泮的分子中存在羟基 E 奥沙西泮的分子中存在氨基
查看
单选
苯丙醇胺的共轭酸的pKa9.4,在肠液中(pH7.4)其分子形式占
A 1% B 10% C 50% D 90% E 99%
查看
单选
氯霉素眼药水中加入硼酸的最主要作用是
A 潜溶 B 调节pH C 防腐 D 防刺激 E 助溶
查看
单选
我国目前使用的现行版本《中国药典》是
A 2010年版 B 2012年版 C 2015年版 D 2018年版 E 2020年版
查看
单选
美洛昔康的结构为 下列不符合其性质和特点的选项是
A 属非甾体抗炎药 B 具有苯并噻嗪结构 C 具有酰胺结构 D 结构含有吡啶结构 E 该药显酸性,酸性来自于烯醇结构
查看
单选
药物在人体内的细胞色素P450酶系最主要氧化代谢酶是
A CYP2D6 B CYP3A4 C CYP1A D 过氧化酶 E 单胺氧化酶
查看
单选
属于前药的抗肿瘤药物是
A 奥沙利铂 B 异环磷酰胺 C 羟喜树碱 D 氟尿嘧啶 E 阿糖胞苷
查看
单选
有关环磷酰胺的叙述,错误的是
A 含有1个结晶水 B 结构中的杂环影响药物的吸收、分布等药代动力学性质 C 属于氮芥类烷化剂 D 结构中的β-氯乙胺基是产生药效的关键部分 E 通过代谢拮抗产生药效
查看
单选
关于热原性质的叙述错误的是
A 具有水溶性 B 可被高温破坏 C 具有挥发性 D 易被吸附 E 可被强酸,强碱破坏
查看
单选
可作为气雾剂的抛射剂的是
A 氟氯烷烃类 B 氮酮 C 卡波姆 D 泊洛沙姆 E 聚维酮
查看
刷题小程序
热门试卷
《药学专业知识一》模拟1
《药学专业知识一》模拟2
《药学专业知识一》模拟3
《药学专业知识一》模拟4
《药学专业知识一》模拟5
《药学专业知识一》模拟6
《药学专业知识一》模拟7
《药学专业知识一》模拟8
《药学专业知识一》模拟9
《药学专业知识一》模拟10
《药学专业知识一》模拟11
《药学专业知识一》模拟12
执业药师《西药学专业知识(一)》预测一
执业药师《西药学专业知识(一)》预测二
执业药师《西药学专业知识(一)》预测三