首页
考研
最新考研题库
中外美术史23新版
建筑类
二级建造师
一级建造师
一级造价工程师
监理工程师
安全工程师
一级消防工程师
消防设施操作员
医学类
主治类
执业药师
护师(初级)资格证考试
主管护师(中级)资格证考试
护士资格证考试
医师类
中药学类
金融类
基金从业资格
银行从业资格
证券从业资格
期货从业资格
银行招聘考试
财会类
初级经济师
中级经济师
初级会计师
中级会计师
注册会计师
税务师
资产评估师
教师类
中学教师笔试
小学教师笔试
幼儿教师笔试
幼儿结构化面试
幼儿专业面试
中小学结构化面试
学历提升
成考(专升本)
成考(高起本、高起专)
自考
网校课程
登录
注册好礼
我的主页
我的提问
我的回答
退出
当前位置:
首页
>
西药学专业(一)
>
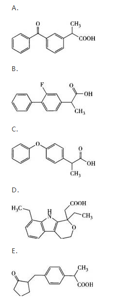
配伍选择题 含有吡喃羧酸类结构,抑制环氧化酶-2(COX-2)的芳基丙酸类非甾体类抗炎药是
单选
配伍选择题 含有吡喃羧酸类结构,抑制环氧化酶-2(COX-2)的芳基丙酸类非甾体类抗炎药是
A A
B B
C C
D D
E E
正确答案
D
查看解析
搜索
相关试题
单选
下列叙述中与胺碘酮不符的是
A 钾通道阻滞药类抗心律失常药 B 属苯并呋喃类化合物 C 其主要代谢物为N-脱乙基胺碘酮,也具有相似的电生理活性 D 胺碘酮及其代谢物结构中含有碘原子,易于代谢 E 结构与甲状腺激素类似,含有碘原子,可影响甲状腺激素代谢
查看
单选
下列药物制剂中属于无菌制剂的是
A 乳膏剂 B 气雾剂 C 软膏剂 D 吸入粉雾剂 E 滴眼液
查看
单选
药品监督管理部门根据监管需要对质量可疑药品进行的抽查检验属于
A 评价抽检 B 监督抽检 C 出厂抽检 D 注册检验 E 复检
查看
单选
具有下列结构的药物是
A 诺阿司咪唑 B 酮替芬 C 赛庚啶 D 地氯雷他定 E 氯雷他定
查看
单选
头孢呋辛属于第二代头孢菌素类药物,将其结构中2位羧酸做成乙酰氧基乙酯,得到头孢呋辛酯,其目的是
A 降低药物的酸性,减少对胃肠道的刺激性 B 脂溶性增强,口服吸收良好 C 增强与受体的结合力,改变生物活性 D 影响药物分子的电荷分布,从而增强与受体的电性结合作用 E 增加立体位阻,从而增加稳定性
查看
单选
依那普利是对依那普利拉进行结构修饰得到的前体药物,其修饰位点是针对于
A 对羧基进行成酯的修饰 B 对羟基进行成酯的修饰 C 对氨基进行成酰胺的修饰 D 对酸性基团进行成盐的修饰 E 对碱性基团进行成盐的修饰
查看
单选
新生儿使用氯霉素时,可导致药物在体内聚集,引起“灰婴综合征”,造成氯霉素这一毒性反应的原因是新生儿体内主要缺乏
A 谷胱甘肽 B 甘氨酸 C 葡萄糖醛酸 D 硫酸 E 乙酰辅酶A
查看
单选
结构中具有三氮唑环,羟基化代谢物具有更强的活性,药物药效由原药和代谢物共同完成,该药是
A 氟康唑 B 伏立康唑 C 酮康唑 D 伊曲康唑 E 咪康唑
查看
单选
下列哪项不是造成裂片和顶裂的原因
A 压力分布的不均匀 B 颗粒中细粉太多 C 颗粒过干 D 弹性复原率大 E 硬度不够
查看
单选
睾酮在17α位增加一个甲基,其设计主要考虑的是
A 减小脂溶性,有利吸收 B 雄激素作用增强 C 雄激素作用降低 D 蛋白同化作用增强 E 增强脂溶性,可以口服
查看
刷题小程序
热门试卷
《药学专业知识一》模拟1
《药学专业知识一》模拟2
《药学专业知识一》模拟3
《药学专业知识一》模拟4
《药学专业知识一》模拟5
《药学专业知识一》模拟6
《药学专业知识一》模拟7
《药学专业知识一》模拟8
《药学专业知识一》模拟9
《药学专业知识一》模拟10
《药学专业知识一》模拟11
《药学专业知识一》模拟12
执业药师《西药学专业知识(一)》预测一
执业药师《西药学专业知识(一)》预测二
执业药师《西药学专业知识(一)》预测三