首页
考研
最新考研题库
中外美术史23新版
建筑类
二级建造师
一级建造师
一级造价工程师
监理工程师
安全工程师
一级消防工程师
消防设施操作员
医学类
主治类
执业药师
护师(初级)资格证考试
主管护师(中级)资格证考试
护士资格证考试
医师类
中药学类
金融类
基金从业资格
银行从业资格
证券从业资格
期货从业资格
银行招聘考试
财会类
初级经济师
中级经济师
初级会计师
中级会计师
注册会计师
税务师
资产评估师
教师类
中学教师笔试
小学教师笔试
幼儿教师笔试
幼儿结构化面试
幼儿专业面试
中小学结构化面试
学历提升
成考(专升本)
成考(高起本、高起专)
自考
网校课程
登录
注册好礼
我的主页
我的提问
我的回答
退出
当前位置:
首页
>
西药学专业(一)
>
多选题 喹诺酮类药物结构中的4-酮基-3-羧基为必需药效基团,但该结构易与金属离子络合形成螯合物,一方面使体内金属离子络
多选
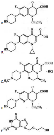
多选题 喹诺酮类药物结构中的4-酮基-3-羧基为必需药效基团,但该结构易与金属离子络合形成螯合物,一方面使体内金属离子络合后排出体外,影响青少年儿童生长发育;另一方面与含有金属离子的药物合用络合后,影响吸收。下列属于喹诺酮类药物的有
A A
B B
C C
D D
E E
正确答案
ABCD
查看解析
搜索
相关试题
单选
富马酸酮替芬喷鼻剂中三氯叔丁醇的作用是 【处方】富马酸酮替芬0.11g 亚硫酸氢钠0.50g 三氯叔丁醇0.10g 蒸馏水加至100ml
A 抗氧剂 B 防腐剂 C 潜溶剂 D 助溶剂 E 抛射剂
查看
单选
下列不属于药物体内代谢的第Ⅱ相结合反应的是
A 沙丁胺醇的酚羟基硫酸酯化结合反应 B 苯甲酸和水杨酸体内代谢成马尿酸和水杨酰甘氨酸的氨基酸结合反应 C 白消安和酰氯与谷胱甘肽结合解除细胞毒性的反应 D 对氨基水杨酸生成对乙酰胺基水杨酸的乙酰化结合反应 E 丙胺卡因R-(-)-体产生邻甲苯胺,引起高铁血红蛋白血症的水解反应
查看
单选
血管紧张素转化酶抑制剂药物如卡托普利,与利尿药螺内酯合用,临床上会引起
A 中毒性精神病 B 昏睡 C 呼吸与循环抑制 D 高钾血症 E 耳毒性
查看
单选
下列属于二相气雾剂的是
A O/W型泡沫气雾剂 B W/O型乳剂 C O/W型乳剂 D 混悬型气雾剂 E 溶液型气雾剂
查看
单选
西咪替丁、酮康唑均可以与血红蛋白的铁离子络合,形成可逆作用,因此对CYP具有可逆抑制作用。与血红蛋白中的铁离子螯合的结构是
A 吡啶 B 咪唑 C 叔胺 D 呋喃 E 苯并二噁烷
查看
单选
最佳选择题 结构中具有两个手性中心,临床上用(-)-(3S,4R)-异构体,体内不能脱甲基代谢,代谢物也无活性的5-HT再摄取抑制剂抗抑郁药物是
A A B B C C D D E E
查看
单选
关于药物动力学中房室模型的说法,正确的是
A 单室模型是指进入体循环的药物能很快在血液与各部位之间达到动态平衡 B 一个房室代表机体内一个特定的解剖部位(组织脏器) C 药物在同一房室不同部位与血液建立动态平衡的速率完全相等 D 给药后同一房室中各部位的药物浓度和变化速率均相等 E 双室模型包括分布速率较慢的中央室和分布较快的周边室
查看
单选
下列关于气雾剂特点的错误叙述为( )
A 有首过效应 B 便携、耐用、方便 C 比雾化器容易准备 D 良好的剂量均一性 E 无首过效应
查看
单选
最佳选择题 具有1,4-二氢吡啶骨架,结构对称,4位不具有手性的药物是 A. B. C. D. E.
A A B B C C D D E E
查看
单选
下列处方的制剂类型属于 【处方】樟脑30g 薄荷脑20g 硼酸50g 羊毛脂20g 液状石蜡10ml 凡士林适量
A 油脂性基质软膏剂 B O/W型乳膏剂 C W/O型乳膏剂 D 水溶性基质软膏剂 E 微乳基质软膏剂
查看
刷题小程序
热门试卷
《药学专业知识一》模拟1
《药学专业知识一》模拟2
《药学专业知识一》模拟3
《药学专业知识一》模拟4
《药学专业知识一》模拟5
《药学专业知识一》模拟6
《药学专业知识一》模拟7
《药学专业知识一》模拟8
《药学专业知识一》模拟9
《药学专业知识一》模拟10
《药学专业知识一》模拟11
《药学专业知识一》模拟12
执业药师《西药学专业知识(一)》预测一
执业药师《西药学专业知识(一)》预测二
执业药师《西药学专业知识(一)》预测三