首页
考研
最新考研题库
中外美术史23新版
建筑类
二级建造师
一级建造师
一级造价工程师
监理工程师
安全工程师
一级消防工程师
消防设施操作员
医学类
主治类
执业药师
护师(初级)资格证考试
主管护师(中级)资格证考试
护士资格证考试
医师类
中药学类
金融类
基金从业资格
银行从业资格
证券从业资格
期货从业资格
银行招聘考试
财会类
初级经济师
中级经济师
初级会计师
中级会计师
注册会计师
税务师
资产评估师
教师类
中学教师笔试
小学教师笔试
幼儿教师笔试
幼儿结构化面试
幼儿专业面试
中小学结构化面试
学历提升
成考(专升本)
成考(高起本、高起专)
自考
网校课程
登录
注册好礼
我的主页
我的提问
我的回答
退出
当前位置:
首页
>
西药学专业(一)
>
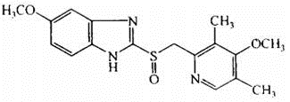
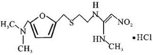
下列结构中属于雷尼替丁的是( )。
单选
下列结构中属于雷尼替丁的是( )。
A
B
C
D
E
正确答案
B
查看解析
搜索
相关试题
单选
药物通过简单扩散的方式转运时,弱酸性药物( )。
A 在碱性环境中易跨膜转运 B 在胃中不易于吸收 C 碱化尿液时易被重吸收 D 碱化尿液可加速其排泄 E 酸化尿液可加速其排泄
查看
单选
动作电位的升支是由于( )。
A Na^﹢内向电流 B Na^﹢外向电流 C K^﹢内向电流 D K^﹢外向电流 E C1^﹣外向电流
查看
单选
下列说法正确的是( )。
A 咪唑环对CYP具有不可逆抑制作用 B CYP2E1的诱导剂乙醇会诱导该酶的活性增加 C 特质性药物毒性与药理作用同时发生 D 药物对CYP450的抑制作用会导致其他同时使用的药物的代谢增加 E 特质性药物毒性发生在药理作用之前
查看
单选
下列不属于软膏剂附加剂的是( )。
A 抗氧剂 B 润滑剂 C 保湿剂 D 透皮促进剂 E 防腐剂
查看
单选
下列不属于第二信使的物质是( )。
A 生长因子 B 环磷酸鸟苷 C 钙离子 D 一氧化氮 E 三磷酸肌醇
查看
单选
关于药物制剂稳定性的说法,错误的是( )。
A 运用化学动力学原理可以研究制剂中药物的降解速度 B 药物制剂稳定性影响因素试验包括高温试验、高湿试验和强光照射试验 C 药物制剂稳定性主要研究药物制剂的物理稳定性 D 加速试验是在(40±2)℃、相对湿度(75±5)%的条件下进行稳定 E 长期试验是在(25±2)℃、相对湿度(60±10)%的条件下进行稳定
查看
单选
非磺酰脲类促胰岛素分泌剂,在肝脏快速被代谢,被称为“膳食葡萄糖调节剂”的药物是( )。
A 瑞格列奈 B 格列本脲 C 吡格列酮 D 二甲双胍 E 阿卡波糖
查看
单选
维生素C注射液中的金属离子螯合剂是( )。
A 碳酸氢钠 B 依地酸二钠 C 醋酸钠 D 亚硫酸钠 E 枸橼酸钠
查看
单选
下列辅料中,水不溶型包衣材料是( )。
A 聚乙烯醇 B 醋酸纤维素 C 羟丙基纤维素 D 聚乙二醇 E 聚维酮
查看
单选
DNA中核苷酸之间的连接方式是( )。
A 肽键 B 氢键 C 2’,3’-磷酸二酯键 D 3’,5’-磷酸二酯键 E 2’,5’-磷酸二酯键
查看
刷题小程序
热门试卷
《药学专业知识一》模拟1
《药学专业知识一》模拟2
《药学专业知识一》模拟3
《药学专业知识一》模拟4
《药学专业知识一》模拟5
《药学专业知识一》模拟6
《药学专业知识一》模拟7
《药学专业知识一》模拟8
《药学专业知识一》模拟9
《药学专业知识一》模拟10
《药学专业知识一》模拟11
《药学专业知识一》模拟12
执业药师《西药学专业知识(一)》预测一
执业药师《西药学专业知识(一)》预测二
执业药师《西药学专业知识(一)》预测三