首页
考研
最新考研题库
中外美术史23新版
建筑类
二级建造师
一级建造师
一级造价工程师
监理工程师
安全工程师
一级消防工程师
消防设施操作员
医学类
主治类
执业药师
护师(初级)资格证考试
主管护师(中级)资格证考试
护士资格证考试
医师类
中药学类
金融类
基金从业资格
银行从业资格
证券从业资格
期货从业资格
银行招聘考试
财会类
初级经济师
中级经济师
初级会计师
中级会计师
注册会计师
税务师
资产评估师
教师类
中学教师笔试
小学教师笔试
幼儿教师笔试
幼儿结构化面试
幼儿专业面试
中小学结构化面试
学历提升
成考(专升本)
成考(高起本、高起专)
自考
网校课程
登录
注册好礼
我的主页
我的提问
我的回答
退出
当前位置:
首页
>
西药学专业(一)
>
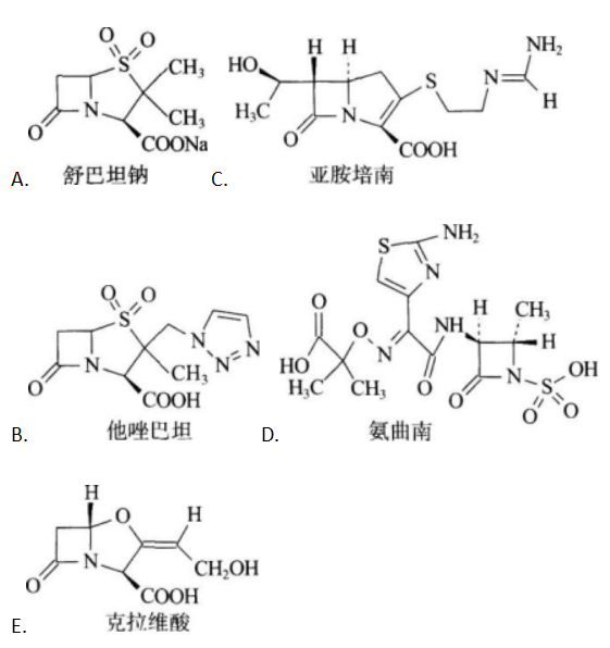
最佳选择题 属于碳青霉烯类,临床上与肾肽酶抑制剂西司他丁钠合用的β-内酰胺抗生素药物是
单选
最佳选择题 属于碳青霉烯类,临床上与肾肽酶抑制剂西司他丁钠合用的β-内酰胺抗生素药物是
A A
B B
C C
D D
E E
正确答案
C
查看解析
搜索
相关试题
单选
吸食后情绪高昂、精力充沛、食欲减退,并有明显欣快感的致依赖性药物是
A 阿片类如海洛因 B 中枢神经抑制药如三唑仑 C 苯丙胺类如甲基苯丙胺(冰毒) D 大麻类如印度大麻 E 致幻剂如氯胺酮(K粉)
查看
单选
下列具有1,2-苯并噻嗪基本骨架,属于非羧酸类非甾体抗炎药物的是
A 舒林酸 B 吡罗昔康 C 塞来昔布 D 布洛芬 E 双氯芬酸
查看
单选
关于药物代谢的错误表述是
A 药物代谢是药物在体内发生化学结构变化的过程 B 参与药物代谢的酶通常分为微粒体酶系和非微粒体酶系 C 通常代谢产物比原药物的极性小 D 药物代谢主要在肝脏进行,也有一些药物在肠道代谢 E 药物的给药途径和剂型都会影响代谢
查看
单选
短叶红豆杉的树皮中提取得到的一个具有紫杉烯环的二萜类化合物,属于有丝分裂抑制剂或纺锤体毒素的是
A 紫杉醇 B 多西他赛 C 依托泊苷 D 羟基喜树碱 E 长春新碱
查看
单选
关于眼用制剂的说法,错误的是
A 滴眼液应与泪液等渗 B 混悬型滴眼液用前需充分混匀 C 增大滴眼液的黏度,不利于提高药效 D 用于手术后眼用制剂必须保证无菌,不得加入适量抑菌剂 E 为减小刺激性,滴眼液应使用缓冲液调节溶液的pH,使其在生理耐受范围
查看
单选
部分吩噻嗪类药物的10位侧链上有伯醇羟基,体内易与葡萄糖醛酸结合排出体外,作用时间短,为了延长该类药物的作用时间,对其羟基成酯可延长作用时间。下列属于长效的吩噻
A 氯丙嗪 B 奋乃静 C 庚氟奋乃静 D 氯氮平 E 利培酮
查看
单选
最佳选择题 分子中的硫原子以电子等排体亚乙烯基或亚乙基取代后,得到的二苯并氮杂 类抗抑郁药物,其N-脱甲基代谢物具有等同的活性。下列属于丙米嗪活性代谢物的是
A A B B C C D D E E
查看
单选
下列关于气雾剂特点的错误叙述为( )
A 吸收缓慢 B 便携、耐用、方便 C 比雾化器容易准备 D 良好的剂量均一性 E 无首过效应
查看
单选
具有苯硫氮 结构的钙通道拮抗剂,分子中有两个手性碳原子,顺式D-异构体活性最高;该药口服吸收迅速,有较高的首过效应,导致生物利用度下降。临床应用对大的冠状动脉和
A 氯沙坦 B 卡托普利 C 硝苯地平 D 地尔硫 E 维拉帕米
查看
单选
下列说法属于对因治疗的是
A 对乙酰氨基酚的解热镇痛作用 B 阿卡波糖的降血糖作用 C 硝苯地平的抗心绞痛作用 D 卡托普利的降血压作用 E 环丙沙星的抗菌作用
查看
刷题小程序
热门试卷
《药学专业知识一》模拟1
《药学专业知识一》模拟2
《药学专业知识一》模拟3
《药学专业知识一》模拟4
《药学专业知识一》模拟5
《药学专业知识一》模拟6
《药学专业知识一》模拟7
《药学专业知识一》模拟8
《药学专业知识一》模拟9
《药学专业知识一》模拟10
《药学专业知识一》模拟11
《药学专业知识一》模拟12
执业药师《西药学专业知识(一)》预测一
执业药师《西药学专业知识(一)》预测二
执业药师《西药学专业知识(一)》预测三