单选

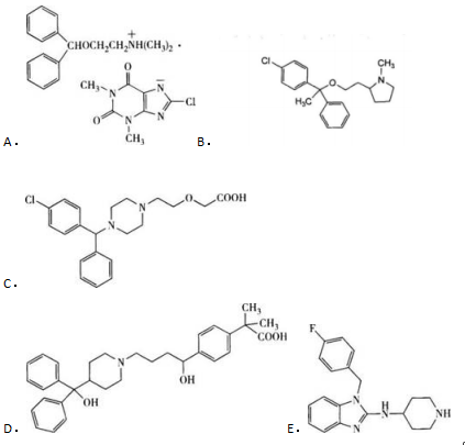
配伍选择题 为特非那定的活性代谢物,结构中因为含有羧基,无中枢镇静作用和无心脏毒性的抗组胺药是

A A
B B
C C
D D
E E
F F
G H

正确答案
D
查看解析

相关试题

单选
诺氟沙星注射剂与氨苄西林注射剂配伍会发生沉淀,是由于
A 溶剂组成改变 B pH的改变 C 直接反应 D 反应时间 E 成分的纯度
查看
单选
当药物的非极性链部分与生物大分子中非极性链部分产生相互作用,这种作用力称为
A 共价键 B 氢键 C 离子一偶极和偶极一偶极相互作用 D 范德华引力 E 疏水性相互作用
查看
单选
含有氢键键合的极性药效团二氨基硝基乙烯结构,反式体有效的H2受体阻断药抗剂类抗溃疡药是
A 雷尼替丁 B 西咪替丁 C 法莫替丁 D 奥美拉唑 E 雷贝拉唑
查看
单选
在体内需要肝、肾两次羟基化代谢才具有活性的药物是
A 维生素D3 B 阿法骨化醇 C 骨化三醇 D 阿仑膦酸钠 E 雷洛昔芬
查看
单选
下列对布洛芬的描述,正确的是
A R一异构体和S一异构体的药理作用相同 B R一异构体的抗炎作用强于S一异构体 C 肠道内停留时间越长,R一异构体越多 D 在体内R一异构体可转变成S一异构体 E 在体内S一异构体可转变成R一异构体
查看
单选
下列属于量反应的有
A 体温升高或降低 B 惊厥与否 C 睡眠与否 D 存活与死亡 E 正确与错误
查看
单选
布洛芬药物名称的命名属于
A 商品名 B 拉丁名 C 化学名 D 通俗名 E 通用名
查看
单选
结构中含有3,5-二羟基戊酸结构,属于洛伐他汀半合成的衍生物为
A 阿托伐他汀 B 氟伐他汀 C 瑞舒伐他汀 D 辛伐他汀 E 普伐他汀
查看
单选
有关药物作用的选择性,描述正确的是
A 药物作用的选择性有高低之分 B 药物的特异性与效应的选择性一定平行 C 选择性低的药物一般副作用较少 D 在复杂病因或诊断未明时要使用选择性高的药物 E 选择性一般是相对的,与药物剂量无关
查看
单选
生物等效性研究中,药物检测常用的生物样品是
A 全血 B 血浆 C 唾液 D 尿液 E 粪便
查看
刷题小程序
西药学专业(一)题库小程序