首页
考研
最新考研题库
中外美术史23新版
建筑类
二级建造师
一级建造师
一级造价工程师
监理工程师
安全工程师
一级消防工程师
消防设施操作员
医学类
主治类
执业药师
护师(初级)资格证考试
主管护师(中级)资格证考试
护士资格证考试
医师类
中药学类
金融类
基金从业资格
银行从业资格
证券从业资格
期货从业资格
银行招聘考试
财会类
初级经济师
中级经济师
初级会计师
中级会计师
注册会计师
税务师
资产评估师
教师类
中学教师笔试
小学教师笔试
幼儿教师笔试
幼儿结构化面试
幼儿专业面试
中小学结构化面试
学历提升
成考(专升本)
成考(高起本、高起专)
自考
网校课程
登录
注册好礼
我的主页
我的提问
我的回答
退出
当前位置:
首页
>
西药学专业(一)
>
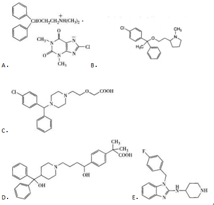
配伍选择题 克服苯海拉明的嗜睡和中枢抑制副作用,用于防治晕动症的药物是
单选
配伍选择题 克服苯海拉明的嗜睡和中枢抑制副作用,用于防治晕动症的药物是
A A
B B
C C
D D
E E
F F
G H
正确答案
A
查看解析
搜索
相关试题
单选
诺氟沙星注射剂与氨苄西林注射剂配伍会发生沉淀,是由于
A 溶剂组成改变 B pH的改变 C 直接反应 D 反应时间 E 成分的纯度
查看
单选
当药物的非极性链部分与生物大分子中非极性链部分产生相互作用,这种作用力称为
A 共价键 B 氢键 C 离子一偶极和偶极一偶极相互作用 D 范德华引力 E 疏水性相互作用
查看
单选
含有氢键键合的极性药效团二氨基硝基乙烯结构,反式体有效的H2受体阻断药抗剂类抗溃疡药是
A 雷尼替丁 B 西咪替丁 C 法莫替丁 D 奥美拉唑 E 雷贝拉唑
查看
单选
在体内需要肝、肾两次羟基化代谢才具有活性的药物是
A 维生素D3 B 阿法骨化醇 C 骨化三醇 D 阿仑膦酸钠 E 雷洛昔芬
查看
单选
下列对布洛芬的描述,正确的是
A R一异构体和S一异构体的药理作用相同 B R一异构体的抗炎作用强于S一异构体 C 肠道内停留时间越长,R一异构体越多 D 在体内R一异构体可转变成S一异构体 E 在体内S一异构体可转变成R一异构体
查看
单选
下列属于量反应的有
A 体温升高或降低 B 惊厥与否 C 睡眠与否 D 存活与死亡 E 正确与错误
查看
单选
布洛芬药物名称的命名属于
A 商品名 B 拉丁名 C 化学名 D 通俗名 E 通用名
查看
单选
结构中含有3,5-二羟基戊酸结构,属于洛伐他汀半合成的衍生物为
A 阿托伐他汀 B 氟伐他汀 C 瑞舒伐他汀 D 辛伐他汀 E 普伐他汀
查看
单选
有关药物作用的选择性,描述正确的是
A 药物作用的选择性有高低之分 B 药物的特异性与效应的选择性一定平行 C 选择性低的药物一般副作用较少 D 在复杂病因或诊断未明时要使用选择性高的药物 E 选择性一般是相对的,与药物剂量无关
查看
单选
生物等效性研究中,药物检测常用的生物样品是
A 全血 B 血浆 C 唾液 D 尿液 E 粪便
查看
刷题小程序
热门试卷
《药学专业知识一》模拟1
《药学专业知识一》模拟2
《药学专业知识一》模拟3
《药学专业知识一》模拟4
《药学专业知识一》模拟5
《药学专业知识一》模拟6
《药学专业知识一》模拟7
《药学专业知识一》模拟8
《药学专业知识一》模拟9
《药学专业知识一》模拟10
《药学专业知识一》模拟11
《药学专业知识一》模拟12
执业药师《西药学专业知识(一)》预测一
执业药师《西药学专业知识(一)》预测二
执业药师《西药学专业知识(一)》预测三