首页
考研
最新考研题库
中外美术史23新版
建筑类
二级建造师
一级建造师
一级造价工程师
监理工程师
安全工程师
一级消防工程师
消防设施操作员
医学类
主治类
执业药师
护师(初级)资格证考试
主管护师(中级)资格证考试
护士资格证考试
医师类
中药学类
金融类
基金从业资格
银行从业资格
证券从业资格
期货从业资格
银行招聘考试
财会类
初级经济师
中级经济师
初级会计师
中级会计师
注册会计师
税务师
资产评估师
教师类
中学教师笔试
小学教师笔试
幼儿教师笔试
幼儿结构化面试
幼儿专业面试
中小学结构化面试
学历提升
成考(专升本)
成考(高起本、高起专)
自考
网校课程
登录
注册好礼
我的主页
我的提问
我的回答
退出
当前位置:
首页
>
西药学专业(一)
>
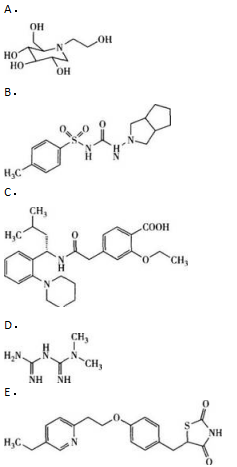
配伍选择题 具有氨甲酰甲基苯甲酸结构,属于促胰岛素分泌剂的降血糖药物是
单选
配伍选择题 具有氨甲酰甲基苯甲酸结构,属于促胰岛素分泌剂的降血糖药物是
A A
B B
C C
D D
E E
F F
G H
正确答案
C
查看解析
搜索
相关试题
单选
胃排空速率加快时,药效减弱的药物是
A 阿司匹林肠溶片 B 地西泮片 C 红霉素肠溶胶囊 D 硫糖铝胶囊 E 左旋多巴片
查看
单选
静脉注射某药,X0=60mg,初始血药浓度为10μg/ml,则表观分布容积V为
A 2L B 4L C 6L D 15L E 20L
查看
单选
热原不具备的性质是
A 水溶性 B 耐热性 C 挥发性 D 可被离子交换树脂吸附 E 可滤性
查看
单选
具有阻断多巴胺D2受体活性和抑制乙酰胆碱酯酶活性,且无致心律失常不良反应的促胃肠动力药是
A 多潘立酮 B 西沙必利 C 伊托必利 D 莫沙必利 E 甲氧氯普胺
查看
单选
下述处方亦称朵贝尔溶液,采用化学反应法制备。硼砂与甘油反应生成硼酸甘油(酸性);硼酸甘油再与碳酸氢钠反应生成甘油硼酸钠。该制剂为 【处方】硼砂15g 碳酸氢钠1
A 漱口液 B 口腔用喷雾剂 C 搽剂 D 洗剂 E 滴鼻液
查看
单选
利用在相变温度时,脂质体的类脂质双分子层膜从胶态过渡到液晶态,脂质膜的通透性增加,药物释放速度增大的原理制成的脂质体称为
A 前体脂质体 B 长循环脂质体 C 免疫脂质体 D 热敏脂质体 E 常规脂质体
查看
单选
最佳选择题 属于碳青霉烯类,临床上须与肾肽酶抑制剂西司他丁钠合用的β一内酰胺抗生素药物是
A A B B C C D D E E
查看
单选
下列属于非极性溶剂的是
A 水 B 丙二醇 C 甘油 D 乙酸乙酯 E DMSO
查看
单选
药用麻黄碱的构型是
A 1R,2S B 1S,2R C 1R,2R D 1S,2S E 1S
查看
单选
关于单硝酸异山梨酯性质的说法,错误的是
A 以原型排泄的大部分可经重吸收至血液 B 比硝酸异山梨酯的半衰期长 C 水溶性增大,生物利用度高 D 是硝酸异山梨酯的体内活性代谢产物5一单硝酸异山梨酯开发得到的药物 E 比硝酸异山梨醇酯更易进入中枢系统
查看
刷题小程序
热门试卷
《药学专业知识一》模拟1
《药学专业知识一》模拟2
《药学专业知识一》模拟3
《药学专业知识一》模拟4
《药学专业知识一》模拟5
《药学专业知识一》模拟6
《药学专业知识一》模拟7
《药学专业知识一》模拟8
《药学专业知识一》模拟9
《药学专业知识一》模拟10
《药学专业知识一》模拟11
《药学专业知识一》模拟12
执业药师《西药学专业知识(一)》预测一
执业药师《西药学专业知识(一)》预测二
执业药师《西药学专业知识(一)》预测三