首页
考研
最新考研题库
中外美术史23新版
建筑类
二级建造师
一级建造师
一级造价工程师
监理工程师
安全工程师
一级消防工程师
消防设施操作员
医学类
主治类
执业药师
护师(初级)资格证考试
主管护师(中级)资格证考试
护士资格证考试
医师类
中药学类
金融类
基金从业资格
银行从业资格
证券从业资格
期货从业资格
银行招聘考试
财会类
初级经济师
中级经济师
初级会计师
中级会计师
注册会计师
税务师
资产评估师
教师类
中学教师笔试
小学教师笔试
幼儿教师笔试
幼儿结构化面试
幼儿专业面试
中小学结构化面试
学历提升
成考(专升本)
成考(高起本、高起专)
自考
网校课程
登录
注册好礼
我的主页
我的提问
我的回答
退出
当前位置:
首页
>
西药学专业(一)
>
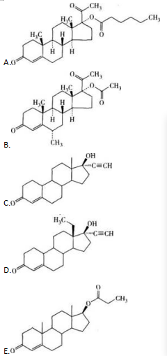
最佳选择题 为黄体酮的17α-己酰氧基物,是脂溶性强的前药,肌内注射后缓慢释放,药效持续可达1个月,临床作长效避孕药的是
单选
最佳选择题 为黄体酮的17α-己酰氧基物,是脂溶性强的前药,肌内注射后缓慢释放,药效持续可达1个月,临床作长效避孕药的是
A A
B B
C C
D D
E E
正确答案
A
查看解析
搜索
相关试题
单选
下列可引起高铁血红蛋白血症的药物是
A 伯氨喹 B 对乙酰氨基酚 C 呋塞米 D 环孢素 E 氢氯噻嗪
查看
单选
同一受体的完全激动药和部分激动药合用时,产生的药理效应是
A 两者均在低浓度时,部分激动药拮抗完全激动药的药理效应 B 两者均在高浓度时,部分激动药增强完全激动药的药理效应 C 两者用量在临界点时,部分激动药可发挥最大激动效应 D 无论何种浓度,部分激动药均拮抗完全激动药的药理效应 E 无论何种浓度,部分激动药均增强完全激动药的药理效应
查看
单选
某药静脉注射后经过3个半衰期,此时体内药量为原来的
A 1/2 B 1/4 C 1/8 D 1/16 E 2倍
查看
单选
如果不良反应是“药物与人体抗体发生的一种非正常的免疫反应”,则称为
A 毒性反应 B 继发反应 C 过敏作用 D 过度反应 E 遗传药理学不良反应
查看
单选
下列属于水性凝胶剂基质的是
A 液状石蜡 B 聚乙烯 C 胶体硅 D 脂肪油与胶体硅 E 卡波姆
查看
单选
药物的治疗作用有对因治疗、对症治疗和补充疗法。下列属于对因治疗的是
A 胰岛素治疗糖尿病 B 解热镇痛药物缓解感冒发热症状 C 抗高血压药物控制升高的血压 D 抗心绞痛药物舌下含服缓解心绞痛 E 抗菌药物如青霉素控制感染
查看
单选
硝酸酯类药物具有爆炸性,连续使用会出现耐受性,与硝酸酯受体中的巯基耗竭有关,给予下列哪种药物,可使耐受性迅速反转
A 1,4-二巯基-2,3-丁二醇 B 硫化物 C 谷胱甘肽 D 乙酰半胱氨酸 E 羧甲司坦
查看
单选
造成裂片和顶裂的原因错误的是
A 压力分布的不均匀 B 颗粒中细粉太多 C 结合力不够 D 物料得塑性较差 E 硬度不够
查看
单选
F=(AUCpo*Doseiv)/(AUCiv*Dosepo)是下列哪项的计算公式
A 绝对生物利用度 B 相对生物利用度 C 一般生物利用度 D 相对清除率 E 绝对清除率
查看
单选
不受专利和行政保护,药典中使用的名称是
A 商品名 B 通用名 C 俗名 D 化学名 E 品牌名
查看
刷题小程序
热门试卷
《药学专业知识一》模拟1
《药学专业知识一》模拟2
《药学专业知识一》模拟3
《药学专业知识一》模拟4
《药学专业知识一》模拟5
《药学专业知识一》模拟6
《药学专业知识一》模拟7
《药学专业知识一》模拟8
《药学专业知识一》模拟9
《药学专业知识一》模拟10
《药学专业知识一》模拟11
《药学专业知识一》模拟12
执业药师《西药学专业知识(一)》预测一
执业药师《西药学专业知识(一)》预测二
执业药师《西药学专业知识(一)》预测三