首页
考研
最新考研题库
中外美术史23新版
建筑类
二级建造师
一级建造师
一级造价工程师
监理工程师
安全工程师
一级消防工程师
消防设施操作员
医学类
主治类
执业药师
护师(初级)资格证考试
主管护师(中级)资格证考试
护士资格证考试
医师类
中药学类
金融类
基金从业资格
银行从业资格
证券从业资格
期货从业资格
银行招聘考试
财会类
初级经济师
中级经济师
初级会计师
中级会计师
注册会计师
税务师
资产评估师
教师类
中学教师笔试
小学教师笔试
幼儿教师笔试
幼儿结构化面试
幼儿专业面试
中小学结构化面试
学历提升
成考(专升本)
成考(高起本、高起专)
自考
网校课程
登录
注册好礼
我的主页
我的提问
我的回答
退出
当前位置:
首页
>
西药学专业(一)
>
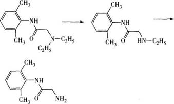
利多卡因在体内的代谢反应如下,其发生的第Ⅰ相生物转化反应是
单选
利多卡因在体内的代谢反应如下,其发生的第Ⅰ相生物转化反应是
A O-脱烷基化
B N-脱烷基化
C N-氧化
D C-环氧化
E S-氧化
正确答案
B
查看解析
搜索
相关试题
单选
关于输液(静脉注射用大容量注射液)的说法,错误的是
A 注射剂内不应含有任何活的微生物 B 为避免输液贮存过程中滋生微生物,输液中应该添加适宜的抑菌剂 C 渗透压应为等渗或偏高渗 D 不溶性微粒检查结果应符合规定 E pH应尽可能与血液的pH相近
查看
单选
有关顺铂的叙述,错误的是
A 抑制DNA复制 B 易溶于水,注射给药 C 属于金属配合物 D 有严重的肠道毒性 E 有严重肾毒性
查看
单选
短叶红豆杉的树皮中提取得到的一个具有紫杉烯环的二萜类化合物,属于有丝分裂抑制剂或纺锤体毒素的抗肿瘤药是
A 紫杉醇 B 多西他赛 C 依托泊苷 D 羟喜树碱 E 长春新碱
查看
单选
1,8位以氧原子环合形成吗啉环,结构中具有手性中心,药用左旋体的是
A 环丙沙星 B 诺氟沙星 C 依诺沙星 D 左氧氟沙星 E 洛美沙星
查看
单选
下列制剂属于均相液体药剂的是
A 普通乳剂 B 纳米乳剂 C 溶胶剂 D 高分子溶液 E 混悬剂
查看
单选
将青霉素钾制成粉针剂的目的是
A 免除微生物污染 B 防止水解 C 防止氧化分解 D 携带方便 E 易于保存
查看
单选
下列关于药物干扰神经冲动传递的叙述中,错误的是
A 麻黄碱通过促进单胺类神经递质释放而引起神经毒性 B 利血平可耗竭去甲肾上腺素和多巴胺等递质而致精神抑郁 C 氯丙嗪阻断黑质纹状体的多巴胺受体从而产生锥体外系功能障碍 D 孕期吸烟者所生的孩子出现注意力缺陷和认知障碍系烟碱对神经系统的毒性所致 E 异烟肼对外周神经系统有毒性作用而较少影响中枢神经系统
查看
单选
关于药典的说法,错误的是
A 药典是记载国家药品标准的主要形式 B 《中国药典》二部不收载化学药品的用法与用量 C 《美国药典》与《美国国家处方集》合并出版.英文缩写为USP—NF D 《日本药典》不收载原料药通则 E 《欧洲药典》第一卷收载有制剂通则但不收载制剂
查看
单选
下列有关喹诺酮类抗菌药构效关系的描述错误的是
A 吡啶酮酸环是抗菌作用必需的基本药效基团 B 3位羧基和4位羰基为抗菌活性不可缺少的部分 C 8位与1位以氧烷基成环,使活性下降 D 6位引入氟原子可使抗菌活性增大 E 7位引入五元或六元杂环,抗菌活性均增加
查看
单选
关于滴丸剂的叙述,不正确的是
A 用固体分散技术制成的滴丸吸收迅速,生物利用度高 B 刺激性强的药物可以制成滴丸剂 C 主药体积小的药物可以制成滴丸剂 D 液体药物不可制成固体的滴丸剂 E 滴丸剂不仅可以口服,还可外用
查看
刷题小程序
热门试卷
《药学专业知识一》模拟1
《药学专业知识一》模拟2
《药学专业知识一》模拟3
《药学专业知识一》模拟4
《药学专业知识一》模拟5
《药学专业知识一》模拟6
《药学专业知识一》模拟7
《药学专业知识一》模拟8
《药学专业知识一》模拟9
《药学专业知识一》模拟10
《药学专业知识一》模拟11
《药学专业知识一》模拟12
执业药师《西药学专业知识(一)》预测一
执业药师《西药学专业知识(一)》预测二
执业药师《西药学专业知识(一)》预测三