首页
考研
最新考研题库
中外美术史23新版
建筑类
二级建造师
一级建造师
一级造价工程师
监理工程师
安全工程师
一级消防工程师
消防设施操作员
医学类
主治类
执业药师
护师(初级)资格证考试
主管护师(中级)资格证考试
护士资格证考试
医师类
中药学类
金融类
基金从业资格
银行从业资格
证券从业资格
期货从业资格
银行招聘考试
财会类
初级经济师
中级经济师
初级会计师
中级会计师
注册会计师
税务师
资产评估师
教师类
中学教师笔试
小学教师笔试
幼儿教师笔试
幼儿结构化面试
幼儿专业面试
中小学结构化面试
学历提升
成考(专升本)
成考(高起本、高起专)
自考
网校课程
登录
注册好礼
我的主页
我的提问
我的回答
退出
当前位置:
首页
>
西药学专业(一)
>
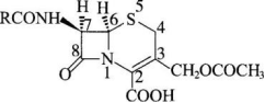
综合分析选择题 天然的头孢类抗生素的3位是乙酰氧甲基,体内易水解,成环,失去活性,为改善该类药物的体内药动学性质,对其3
单选
综合分析选择题 天然的头孢类抗生素的3位是乙酰氧甲基,体内易水解,成环,失去活性,为改善该类药物的体内药动学性质,对其3位改造。
3位引入氯原子,脂溶性大,口服易吸收的药物是
A 头孢氨苄
B 头孢羟氨苄
C 头孢克洛
D 头孢哌酮
E 头孢吡肟
正确答案
C
查看解析
搜索
相关试题
单选
经胃肠道吸收的药物进入体循环前的降解或失活的过程称为
A 肠一肝循环 B 生物转化 C 首关效应 D 诱导效应 E 抑制效应
查看
单选
临床上使用单一光学异构体,具有代谢慢、作用时间长的质子泵抑制剂是
A 奥美拉唑 B 兰索拉唑 C 泮托拉唑 D 雷贝拉唑 E 艾司奥美拉唑
查看
单选
舌下片的崩解时间是
A 30min B 3min C 15min D 5min E 1h
查看
单选
临床上将胰酶制成肠溶片的目的是
A 提高疗效 B 调节药物作用 C 改变药物的性质 D 降低药物的副作用 E 赋型
查看
单选
下列物质哪种是制备栓剂的水溶性基质
A 可可豆脂 B 白蜡 C 椰油酯 D 甘油明胶 E 苯甲酸钠
查看
单选
1%的依沙吖啶注射剂用于中期引产,但0.1%~0.2%的溶液局部涂敷具有杀菌作用。以下哪种说法可以解释上述原因
A 药物剂型可以改变药物作用的性质 B 药物剂型可以改变药物作用的速度 C 药物剂型可以降低药物的毒副作用 D 药物剂型可以产生靶向作用 E 药物剂型会影响疗效
查看
单选
与抗菌药配伍使用后,能增强抗菌药疗效的药物称为抗菌增效剂,属于抗菌增效剂的药物是
A 甲氧苄啶 B 氨苄西林 C 舒他西林 D 磺胺嘧啶 E 氨曲南
查看
单选
硝酸酯类药物具有爆炸性,连续使用会出现耐受性,与硝酸酯受体中的巯基耗竭有关,给予下列哪种药物,可使耐受性迅速反转
A 1.4-二巯基-3,3-丁二醇 B 硫化物 C 谷胱甘肽 D 乙酰半胱氨酸 E 羧甲司坦
查看
单选
下列不属于药物代谢第Ⅰ相生物转化反应的是
A 氧化 B 水解 C 还原 D 卤化 E 羟基化
查看
单选
下列关于药物剂量与效应关系的叙述,错误的有
A 以药理效应强度为纵坐标,药物剂量或浓度为横坐标作图,得到直方双曲线 B 将药物浓度或剂量用对数值作图,则呈现S形曲线 C 量-效曲线的斜率小,表示药量微小的变化即可引起效应的明显变化 D 质反应用累加阳性率与对数剂量(浓度)作图,也呈现出S形量-效曲线 E 最小有效量指引起药理效应的最小药物剂量,也称阈剂量
查看
刷题小程序
热门试卷
《药学专业知识一》模拟1
《药学专业知识一》模拟2
《药学专业知识一》模拟3
《药学专业知识一》模拟4
《药学专业知识一》模拟5
《药学专业知识一》模拟6
《药学专业知识一》模拟7
《药学专业知识一》模拟8
《药学专业知识一》模拟9
《药学专业知识一》模拟10
《药学专业知识一》模拟11
《药学专业知识一》模拟12
执业药师《西药学专业知识(一)》预测一
执业药师《西药学专业知识(一)》预测二
执业药师《西药学专业知识(一)》预测三