首页
考研
最新考研题库
中外美术史23新版
建筑类
二级建造师
一级建造师
一级造价工程师
监理工程师
安全工程师
一级消防工程师
消防设施操作员
医学类
主治类
执业药师
护师(初级)资格证考试
主管护师(中级)资格证考试
护士资格证考试
医师类
中药学类
金融类
基金从业资格
银行从业资格
证券从业资格
期货从业资格
银行招聘考试
财会类
初级经济师
中级经济师
初级会计师
中级会计师
注册会计师
税务师
资产评估师
教师类
中学教师笔试
小学教师笔试
幼儿教师笔试
幼儿结构化面试
幼儿专业面试
中小学结构化面试
学历提升
成考(专升本)
成考(高起本、高起专)
自考
网校课程
登录
注册好礼
我的主页
我的提问
我的回答
退出
当前位置:
首页
>
西药学专业(一)
>
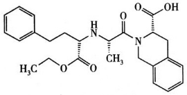
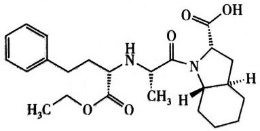
配伍选择题 结构中有戊酸取代、脯氨酸被八氢-1H-吲哚羧酸替代的药物
单选
配伍选择题 结构中有戊酸取代、脯氨酸被八氢-1H-吲哚羧酸替代的药物
A
图1
B
图2
C
图3
D
图4
E
图5
正确答案
A
查看解析
搜索
相关试题
单选
关于棘白菌素类抗真菌药的作用机制,以下描述正确的是:
A 通过与麦角固醇结合形成微孔增加细胞膜通透性 B 抑制14α-去甲基酶导致14α-甲基固醇蓄积 C 抑制葡聚糖合成酶,导致细胞壁葡聚糖缺乏 D 抑制角鲨烯环氧化酶阻断麦角固醇合成 E 通过脱氨作用干扰真菌蛋白质的合成
查看
单选
关于四环素类药物引起光敏反应的特点,下列哪项描述是正确的?
A 主要由UVB辐射引起 B 结构中的氨基和羧基是主要致敏基团 C 在可见光区域具有吸收峰 D 结构中的酮基和烯醇基共轭双键导致在UVA区域具有吸收峰 E 深肤色患者比浅肤色患者更容易出现光敏性皮炎
查看
单选
关于药物效价强度的说法,错误的是
A 药物效价强度用于药物内在活性强弱的比较 B 比较效价强度时所指的等效反应一般采用50%效应量 C 药物效价强度用于作用性质相同的药物之间的等效剂量的比较 D 引起等效反应的相对剂量越小,效价强度越大 E 临床选择药物及确定剂量时须区别效价强度和效能
查看
单选
第一个显现对结肠癌有效的铂类烷化剂是
A 顺铂 B 卡铂 C 奥沙利铂 D 环磷酰胺 E 异环磷酰胺
查看
单选
关于噻托溴铵的描述,以下哪项是正确的?
A 是阿托品的N-异丙基类似物 B 主要用于治疗哮喘 C 是N-甲基东莨菪碱的α,α-二噻吩衍生物 D 持续作用时间约4小时 E 每天需要给药4次
查看
单选
关于热原性质的叙述错误的是
A 可被高温破坏 B 具有水溶性 C 具有挥发性 D 可被强酸、强碱破坏 E 易被吸附
查看
单选
根据心力衰竭发生的速度,可将其分为以下哪两类?
A 左心衰竭和右心衰竭 B 高排血量性心力衰竭和低排血量性心力衰竭 C 急性心力衰竭和慢性心力衰竭 D 射血分数降低的心力衰竭和射血分数保留的心力衰竭 E 代偿性心力衰竭和失代偿性心力衰竭
查看
单选
口服剂型在胃肠道中吸收快慢的顺序一般认为是
A 混悬剂>溶液剂>胶囊剂>片剂>包衣片 B 胶囊剂>混悬剂>溶液剂)片剂>包衣片 C 片剂>包衣片>胶囊剂>混悬剂>溶液剂 D 溶液剂)混悬剂>胶囊剂>片剂>包衣片 E 包衣片>片剂>胶囊剂>混悬剂>溶液剂
查看
单选
在环己巴比妥结构的N原子上引入甲基,得到海索比妥(如图),结果是
A 溶解度提高 B 解离度增大 C 脂水分配系数降低 D 药效降低 E 在生理pH环境下分子形式增多
查看
单选
关于血红蛋白的氧合过程,以下描述正确的是:
A 血红蛋白的四个亚基同时与氧结合 B 一个亚基与氧结合后,会抑制其他亚基的氧合 C 血红蛋白的氧合曲线呈直线型 D 一个亚基与氧结合会促进其他亚基的氧合,称为协同效应 E 血红蛋白的氧合过程不涉及构象变化
查看
刷题小程序
热门试卷
《药学专业知识一》模拟1
《药学专业知识一》模拟2
《药学专业知识一》模拟3
《药学专业知识一》模拟4
《药学专业知识一》模拟5
《药学专业知识一》模拟6
《药学专业知识一》模拟7
《药学专业知识一》模拟8
《药学专业知识一》模拟9
《药学专业知识一》模拟10
《药学专业知识一》模拟11
《药学专业知识一》模拟12
执业药师《西药学专业知识(一)》预测一
执业药师《西药学专业知识(一)》预测二
执业药师《西药学专业知识(一)》预测三