首页
考研
最新考研题库
中外美术史23新版
建筑类
二级建造师
一级建造师
一级造价工程师
监理工程师
安全工程师
一级消防工程师
消防设施操作员
医学类
主治类
执业药师
护师(初级)资格证考试
主管护师(中级)资格证考试
护士资格证考试
医师类
中药学类
金融类
基金从业资格
银行从业资格
证券从业资格
期货从业资格
银行招聘考试
财会类
初级经济师
中级经济师
初级会计师
中级会计师
注册会计师
税务师
资产评估师
教师类
中学教师笔试
小学教师笔试
幼儿教师笔试
幼儿结构化面试
幼儿专业面试
中小学结构化面试
学历提升
成考(专升本)
成考(高起本、高起专)
自考
网校课程
登录
注册好礼
我的主页
我的提问
我的回答
退出
当前位置:
首页
>
中药学专业(一)
>
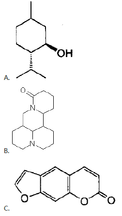
配伍选择题 结构类型为有机酸类化合物的是( )。
单选
配伍选择题 结构类型为有机酸类化合物的是( )。
A A
B B
C C
D D
E E
正确答案
E
查看解析
搜索
相关试题
单选
炮制后毒性降低,具有温肾暖脾作用,用于心腹冷痛、虚寒吐泻的饮片是( )。
A 白附片 B 炮附片 C 制川乌 D 淡附片 E 黑顺片
查看
单选
炮制可以改变或缓和药物的性能,炮制后性味由辛温变为苦凉的饮片是( )。
A 炙甘草 B 清半夏 C 制何首乌 D 胆南星 E 熟地黄
查看
单选
含强心苷类化学成分的药材是( )。
A 细辛 B 牛黄 C 合欢皮 D 斑蝥 E 香加皮
查看
单选
结构类型属于有机胺类生物碱的化合物是( )。
A 小檗碱 B 麻黄碱 C 氧化苦参碱 D 士的宁 E 汉防己乙素
查看
单选
能够增加难溶性药物溶出速度,提高生物利用度的剂型是( )。
A 蜜丸 B 浓缩丸 C 水丸 D 滴丸 E 水蜜丸
查看
单选
关于片剂临床应用注意事项的说法,错误的是( )。
A 舌下片置于舌下含服,含后30 分钟内不宜饮水 B 严禁直接服用或口含泡腾片 C 5 岁以下幼儿最好选用圈式中空的含片 D 应温开水整片送服缓释片 E 片剂都不得掰开服用
查看
单选
第一部官修药典性本草是( )。
A 《新修本草》 B 《经史证类备急本草》 C 《本草纲目拾遗》 D 《本草经集注》 E 《神农本草经》
查看
单选
藿香正气水的剂型是( )。
A 口服液 B 流浸膏剂 C 糖浆剂 D 酊剂 E 合剂
查看
单选
粉末显微鉴别可见纤维鲜黄色,常成束,周围细胞含草酸钙方晶,形成晶纤维,石细胞鲜黄色,类圆形,纺锤体形成是分枝状,壁厚,竖纹明显的药材是( )。
A 地黄 B 肉桂 C 黄柏 D 黄连 E 厚朴
查看
单选
呈类圆形或椭圆形厚片:外表皮灰黄或灰棕色,切面黄绿色、黄棕色或棕褐色,内皮层环纹明显,散在“筋脉”小点的饮片是( )。
A 黄精 B 泽泻 C 莪术 D 射干 E 土茯苓
查看
刷题小程序
热门试卷
2017年《中药学专业知识一》真题
2018年《中药学专业知识一》真题
2019年《中药学专业知识一》真题
2020年《中药学专业知识一》真题
2021年《中药学专业知识一》真题
2022年《中药学专业知识一》真题
2022年执业药师补考《中药学专业知识一》真题
2023年执业药师《中药学专业知识一》真题
2023年执业药师《中药学专业知识一》真题
2024年执业药师《中药学专业知识一》真题估分卷
2024年执业药师《中药学专业知识一》真题
2025年执业药师《中药学专业知识一》真题