首页
考研
最新考研题库
中外美术史23新版
建筑类
二级建造师
一级建造师
一级造价工程师
监理工程师
安全工程师
一级消防工程师
消防设施操作员
医学类
主治类
执业药师
护师(初级)资格证考试
主管护师(中级)资格证考试
护士资格证考试
医师类
中药学类
金融类
基金从业资格
银行从业资格
证券从业资格
期货从业资格
银行招聘考试
财会类
初级经济师
中级经济师
初级会计师
中级会计师
注册会计师
税务师
资产评估师
教师类
中学教师笔试
小学教师笔试
幼儿教师笔试
幼儿结构化面试
幼儿专业面试
中小学结构化面试
学历提升
成考(专升本)
成考(高起本、高起专)
自考
网校课程
登录
注册好礼
我的主页
我的提问
我的回答
退出
当前位置:
首页
>
目标控制(交通工程)
>
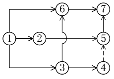
在下列双代号网络图中,当箭杆线出现交叉时,采取的处理方法是( )。
单选
在下列双代号网络图中,当箭杆线出现交叉时,采取的处理方法是( )。
A 暗桥法
B 断线法
C 指向法
D 弯折法
正确答案
B
查看解析
搜索
相关试题
单选
下列关于品质工程评价的说法中,不正确的是( ) 。
A 《评价标准》分为示范创建项目品质工程评价标准、交竣工品质工程示范项目评价标准、农村公路(三四级公路)品质工程示范项目评价标准三类 B 每一类评价标准均由基本要求、评价指标、加分指标、总体评价等四部分构成 C 基本要求为控制指标。其中有一项不满足要求的,工程项目不具备申报资格 D 总体评价满分为1000分
查看
单选
交竣工品质工程示范项目评价应在工程项目完成交工验收满()年且不超过()年时进行。
A 1,2 B 1,5 C 2,3 D 2,5
查看
单选
下列创建品质工程措施中,不属于提升安全保障水平方面内容的是()。
A 加强工程安全风险管理基础体系建设 B 提升工程结构安全 C 提升一线工人队伍素质 D 提升工程安全服务水平
查看
单选
( )应当就审查合格的施工图设计文件向施工单位作出详细说明。
A 建设单位 B 设计单位 C 监理单位 D 咨询单位
查看
单选
质量体系审核范围不包括( )。
A 组织机构 B 文件、报告和记录 C 工作区域、作业和过程 D 现场环境影响
查看
单选
关于建设单位的质量责任和义务的说法,错误的是( )。
A 在办理工程质量监督手续前,应当按照国家有关规定领取施工许可证 B 应当将施工图设计文件上报县级以上人民政府建设行政主管部门或者其他有关部门审查 C 不得迫使施工单位以低于成本的价格竞标 D 将工程发包给具有相应资质等级的单位
查看
单选
工程施工过程中发生质量事故,总监理工程师应立即签发( )。
A 质量事故报告 B 整改通知书 C 监理指令单 D 工程暂停令
查看
单选
工程项目的( )是最重要且最需要项目管理者注意的特性。
A 目标性 B 制约性 C 一次性 D 时限性
查看
单选
系统管理理论是运用系统论、信息论、控制论原理,把管理视为一个系统,以实现管理优化的理论。后来发展为“三因素论”,下列不属于“三因素论”构成因素的是()。
A 人 B 物 C 行为 D 环境
查看
单选
属于企业投资公路建设项目建设程序的是( )。
A 根据规划,开展预可行性研究,编制项目建议书 B 开工备案后组织工程实施 C 交通运输主管部门组织竣工验收,办理固定资产移交手续 D 投资人编制项目申请报告,按规定报项目审批部门核准
查看
刷题小程序
热门试卷
2022年监理工程师考试《建设工程目标控制(交通工程)》临考密训卷
2022年监理工程师考试《建设工程目标控制(交通工程)》强化提分卷
2022年监理工程师考试《建设工程目标控制(交通工程)》密训卷(符合2022版新教材)
2022年监理工程师考试《建设工程目标控制(交通工程)》模拟卷(符合2022版新教材)
监理工程师《目标控制交通工程》模拟卷1
监理工程师《目标控制交通工程》模拟卷2
监理工程师《目标控制交通工程》模拟卷3
监理工程师《目标控制交通工程》模拟卷4
监理工程师《目标控制交通工程》押题密卷1
监理工程师《目标控制交通工程》押题密卷2
监理工程师《目标控制交通工程》押题密卷3
监理工程师《目标控制交通工程》押题密卷4
监理工程师《目标控制交通工程》押题密卷5
监理工程师《目标控制交通工程》押题密卷6
2024年监理工程师《目标控制交通工程》模拟题库1