首页
考研
最新考研题库
中外美术史23新版
建筑类
二级建造师
一级建造师
一级造价工程师
监理工程师
安全工程师
一级消防工程师
消防设施操作员
医学类
主治类
执业药师
护师(初级)资格证考试
主管护师(中级)资格证考试
护士资格证考试
医师类
中药学类
金融类
基金从业资格
银行从业资格
证券从业资格
期货从业资格
银行招聘考试
财会类
初级经济师
中级经济师
初级会计师
中级会计师
注册会计师
税务师
资产评估师
教师类
中学教师笔试
小学教师笔试
幼儿教师笔试
幼儿结构化面试
幼儿专业面试
中小学结构化面试
学历提升
成考(专升本)
成考(高起本、高起专)
自考
网校课程
登录
注册好礼
我的主页
我的提问
我的回答
退出
当前位置:
首页
>
目标控制(交通工程)
>
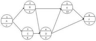
某工程单代号网络计划如下图所示,工作E的最早开始时间是( )。
单选
某工程单代号网络计划如下图所示,工作E的最早开始时间是( )。
A 10
B 13
C 17
D 27
正确答案
C
查看解析
搜索
相关试题
单选
( )反映工作在一定条件下的机动时间范围。
A 时差 B 代差 C 间歇时间 D 错差
查看
单选
关于公路工程交工验收施工合同段工程质量等级评定的说法,正确的是( )。
A 工程质量评分值大于等于90分为优质工程 B 工程质量评分值大于等于85分为优良工程 C 工程质量评分值大于等于80分为中等工程 D 工程质量评分值大于等于75分为合格工程
查看
单选
在工程网络计划中,G工作的最早开始时间为第16天,其持续时间为4天,该工作有3项紧后工作,它们的最早开始时间分别为第23天、第24天,第25天,则G工作的自由时
A 2 B 3 C 4 D 5
查看
单选
下列选项中不属于施工组织设计编制依据的是( )。
A 与工程建设有关的法律、法规和文件 B 工程设计文件 C 项目管理规划 D 工程施工合同
查看
单选
某公路施工,划分为4个施工段,每个施工段由3个施工过程,组织成倍节拍流水施工,流水节拍分别是4天,2天,6天,该工程的流水施工总工期为( )。
A 14天 B 16天 C 18天 D 20天
查看
单选
对于某一个项目来说,缩短工期就会( )。
A 减少工程费用 B 增加工程费用 C 增加直接费用 D 增加间接费用
查看
单选
监理工程师在进行进度控制时,属于组织措施的是( )
A 鼓励技术创新 B 严格控制合同变更 C 建议业主开展劳动竞赛,对承包人提前完工予以奖励 D 建立设计交底、图纸会审、工程变更等管理制度
查看
单选
对零星工作采取的一种计价方式,按合同中的计日工子目及其单价计价付款的是( )。
A 暂估价 B 计日工 C 单价子目支付 D 综合单价
查看
单选
某公司一次性向银行贷款50万元,贷款期限为5年,年利率为10%,贷款期末一次性还本付息,若采用单利计算,则该企业第5年末应付银行的利息为( )万元。
A 5 B 10 C 20 D 25
查看
单选
关于材料、设备预付款的支付条件说法正确的是( )
A 材料、设备已经购买,并运往施工现场 B 材料、设备的质量符合规范要求并经监理人员检查认可 C 承包人无法出具采购材料、设备的费用凭证 D 承包人无法出具支付单据的原件、复印件
查看
刷题小程序
热门试卷
2022年监理工程师考试《建设工程目标控制(交通工程)》临考密训卷
2022年监理工程师考试《建设工程目标控制(交通工程)》强化提分卷
2022年监理工程师考试《建设工程目标控制(交通工程)》密训卷(符合2022版新教材)
2022年监理工程师考试《建设工程目标控制(交通工程)》模拟卷(符合2022版新教材)
监理工程师《目标控制交通工程》模拟卷1
监理工程师《目标控制交通工程》模拟卷2
监理工程师《目标控制交通工程》模拟卷3
监理工程师《目标控制交通工程》模拟卷4
监理工程师《目标控制交通工程》押题密卷1
监理工程师《目标控制交通工程》押题密卷2
监理工程师《目标控制交通工程》押题密卷3
监理工程师《目标控制交通工程》押题密卷4
监理工程师《目标控制交通工程》押题密卷5
监理工程师《目标控制交通工程》押题密卷6
2024年监理工程师《目标控制交通工程》模拟题库1