首页
考研
最新考研题库
中外美术史23新版
建筑类
二级建造师
一级建造师
一级造价工程师
监理工程师
安全工程师
一级消防工程师
消防设施操作员
医学类
主治类
执业药师
护师(初级)资格证考试
主管护师(中级)资格证考试
护士资格证考试
医师类
中药学类
金融类
基金从业资格
银行从业资格
证券从业资格
期货从业资格
银行招聘考试
财会类
初级经济师
中级经济师
初级会计师
中级会计师
注册会计师
税务师
资产评估师
教师类
中学教师笔试
小学教师笔试
幼儿教师笔试
幼儿结构化面试
幼儿专业面试
中小学结构化面试
学历提升
成考(专升本)
成考(高起本、高起专)
自考
网校课程
登录
注册好礼
我的主页
我的提问
我的回答
退出
当前位置:
首页
>
目标控制(交通工程)
>
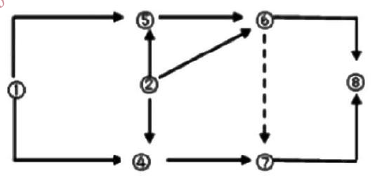
其工程双代号网络图如下图所示,存在的绘错误是( )。
单选
其工程双代号网络图如下图所示,存在的绘错误是( )。
A 多个起点节点
B 多个终点节点
C 节点编号有误
D 存在循环回路
正确答案
A
查看解析
搜索
相关试题
单选
公路监控设施组成一个闭环系统,主要由( )部分组成
A 四大部分 B 二大部分 C 三大部分 D 五大部分
查看
单选
浇筑梁体混凝土时,一般宜按梁的全幅横断面斜向分段、水平分层地连续浇筑。上层与下层前后浇筑距离应不小于( )m。
A 0.5 B 1.5 C 2.5 D 3.5
查看
单选
质量事故发生后,事故报告责任单位应在接报( )内,核实、汇总并上报。
A 1h B 2h C 12h D 24h
查看
单选
承压板现场试验法试验基坑宽度不应小于承压板宽度或直径的( ),宜在拟试压表面用粗砂或中砂层找平,其厚度不超过( )。
A 2倍,20mm B 2倍,30mm C 3倍,30mm D 3倍,20mm
查看
单选
在各项质量活动实施前,根据质量管理计划进行行动方案的部署和交底属于全面质量管理的PDCA循环的( )环节。
A 计划P B 实施D C 检查C D 处理A
查看
单选
某工程组织流水施工,有4个工序,分5段施工,流水节拍分别为3d、5d、7d和4d,则该工程的总工期应为()天。
A 45 B 46 C 47 D 48
查看
单选
下列关于可疑数据的取舍方法中,每次只能舍弃一个可疑值,若有两个以上的可疑数据,应该一个一个地舍弃,舍弃第一个数据后,检测次数由n变为n-1,以此为基础再判别第二
A 毕肖普法 B 拉依达法 C 肖维纳特法 D 格拉布斯法
查看
单选
直接经济损失为5000万元的特长隧道结构坍塌,属于( )质量事故。
A 特别重大 B 重大 C 较大 D 一般
查看
单选
施工组织设计审核意见,应经( )签认后报送建设单位审批。
A 施工单位技术负责人 B 专业监理工程师 C 驻地监理工程师 D 总监理工程师
查看
单选
( )是指企业的生产组织领导者必须在计划、布置、检查、总结、评比生产工作的同时进行计划、布置、检查、总结、评比安全工作的原则。它要求把安全工作落实到每一个生产组
A 安全工作的五同时原则 B 三管三必须原则 C 三同时原则 D 安全生产动态管理原则
查看
刷题小程序
热门试卷
2022年监理工程师考试《建设工程目标控制(交通工程)》临考密训卷
2022年监理工程师考试《建设工程目标控制(交通工程)》强化提分卷
2022年监理工程师考试《建设工程目标控制(交通工程)》密训卷(符合2022版新教材)
2022年监理工程师考试《建设工程目标控制(交通工程)》模拟卷(符合2022版新教材)
监理工程师《目标控制交通工程》模拟卷1
监理工程师《目标控制交通工程》模拟卷2
监理工程师《目标控制交通工程》模拟卷3
监理工程师《目标控制交通工程》模拟卷4
监理工程师《目标控制交通工程》押题密卷1
监理工程师《目标控制交通工程》押题密卷2
监理工程师《目标控制交通工程》押题密卷3
监理工程师《目标控制交通工程》押题密卷4
监理工程师《目标控制交通工程》押题密卷5
监理工程师《目标控制交通工程》押题密卷6
2024年监理工程师《目标控制交通工程》模拟题库1