首页
考研
最新考研题库
中外美术史23新版
建筑类
二级建造师
一级建造师
一级造价工程师
监理工程师
安全工程师
一级消防工程师
消防设施操作员
医学类
主治类
执业药师
护师(初级)资格证考试
主管护师(中级)资格证考试
护士资格证考试
医师类
中药学类
金融类
基金从业资格
银行从业资格
证券从业资格
期货从业资格
银行招聘考试
财会类
初级经济师
中级经济师
初级会计师
中级会计师
注册会计师
税务师
资产评估师
教师类
中学教师笔试
小学教师笔试
幼儿教师笔试
幼儿结构化面试
幼儿专业面试
中小学结构化面试
学历提升
成考(专升本)
成考(高起本、高起专)
自考
网校课程
登录
注册好礼
我的主页
我的提问
我的回答
退出
当前位置:
首页
>
目标控制(交通工程)
>
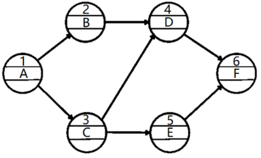
某单代号网络图如下图,关于各项工作间逻辑关系的说法,正确的是()。
单选
某单代号网络图如下图,关于各项工作间逻辑关系的说法,正确的是()。
A E的紧前工作只有C
B A完成后进行B、D
C B的紧后工作是D、E
D C的紧后工作只有E
正确答案
A
查看解析
搜索
相关试题
单选
监理工程师可以根据( )来决定材料或商品构件能否用于工程。
A 验证试验 B 标准试验 C 工艺试验 D 抽样试验
查看
单选
下列不属于施工企业质量环组成的是( )。
A 施工准备 B 施工生产 C 竣工交验 D 图纸设计
查看
单选
某分部工程有3个施工过程,分为4个施工段组织加快的成倍节拍流水施工,各施工过程流水节拍分别是8d、8d、12d,则该分部工程的流水施工工期是()d。
A 34 B 40 C 44 D 50
查看
单选
回弹仪法检测混凝土结构实体,每一测区应读取( )个回弹值,每一测点的回弹值读数应精确到( )。
A 9,0.1MPa B 16,0.1MPa C 9,1MPa D 16,1MPa
查看
单选
当生产条件正常时,直方图形状应该是( )。
A 中间高、两侧低、左右接近对称 B 折齿形状的凹凸 C 向左或向右的缓坡状 D 中间凹,两侧有峰顶,接近对称
查看
单选
全面落实各方主体的工程质量责任,特别要强化( )的首要责任。
A 建设单位 B 施工单位 C 监理单位 D 行政主管部门
查看
单选
下列关于关键线路的说法正确的是( )。
A 连接网络计划中的所有关键工作得到的线路 B 连接网络计划中关键节点得到的线路 C 一个网络计划中关键线路有且只有唯一一条 D 非关键线路可以转变为关键线路
查看
单选
经审查批准后的( )是现场施工准则。
A 施工组织设计 B 施工总进度计划 C 专项施工方案 D 监理计划
查看
单选
属于空间参数的是( )
A 工作面 B 施工过程数 C 流水强度 D 流水节拍
查看
单选
混凝土板的设计状态与实际工作状态不符所引起的水泥路面病害是( )。
A 破碎板 B 裂缝 C 板角断裂 D 错台
查看
刷题小程序
热门试卷
2022年监理工程师考试《建设工程目标控制(交通工程)》临考密训卷
2022年监理工程师考试《建设工程目标控制(交通工程)》强化提分卷
2022年监理工程师考试《建设工程目标控制(交通工程)》密训卷(符合2022版新教材)
2022年监理工程师考试《建设工程目标控制(交通工程)》模拟卷(符合2022版新教材)
监理工程师《目标控制交通工程》模拟卷1
监理工程师《目标控制交通工程》模拟卷2
监理工程师《目标控制交通工程》模拟卷3
监理工程师《目标控制交通工程》模拟卷4
监理工程师《目标控制交通工程》押题密卷1
监理工程师《目标控制交通工程》押题密卷2
监理工程师《目标控制交通工程》押题密卷3
监理工程师《目标控制交通工程》押题密卷4
监理工程师《目标控制交通工程》押题密卷5
监理工程师《目标控制交通工程》押题密卷6
2024年监理工程师《目标控制交通工程》模拟题库1