首页
考研
最新考研题库
中外美术史23新版
建筑类
二级建造师
一级建造师
一级造价工程师
监理工程师
安全工程师
一级消防工程师
消防设施操作员
医学类
主治类
执业药师
护师(初级)资格证考试
主管护师(中级)资格证考试
护士资格证考试
医师类
中药学类
金融类
基金从业资格
银行从业资格
证券从业资格
期货从业资格
银行招聘考试
财会类
初级经济师
中级经济师
初级会计师
中级会计师
注册会计师
税务师
资产评估师
教师类
中学教师笔试
小学教师笔试
幼儿教师笔试
幼儿结构化面试
幼儿专业面试
中小学结构化面试
学历提升
成考(专升本)
成考(高起本、高起专)
自考
网校课程
登录
注册好礼
我的主页
我的提问
我的回答
退出
当前位置:
首页
>
目标控制(水利工程)
>
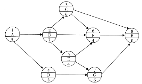
某工程单代号网络计划如图所示(图中节点上方数字为节点编号),其中关键线路( )。
多选
某工程单代号网络计划如图所示(图中节点上方数字为节点编号),其中关键线路( )。
A 1→2→3→8
B 1→2→3→6→8
C 1→2→5→6→8
D 1→2→5→7→8
E 1→4→7→8
正确答案
BD
查看解析
搜索
相关试题
单选
整个项目建设过程中最初阶段的工作是( )。
A 可行性研究 B 项目建议书 C 初步设计文件 D 施工前准备
查看
单选
下列选项中不属于“戴明环”阶段之一的是()。
A 计划阶段 B 实施阶段 C 检查阶段 D 评价阶段
查看
单选
某分部工程双代号网络计划如下图所示,则工作D的总时差和自由时差分别为()天。
A 1和1 B 1和2 C 2和1 D 2和2
查看
单选
关于质量保证的说法,错误的是( )。
A 质量保证是质量管理的一部分,致力于提供质量要求会得到满足的信任 B 内部质量保证是组织领导的一种管理手段 C 内部质量保证是取得管理者的信任,让管理者对质量放心 D 内部质量保证是目的
查看
单选
在PDCA循环中,( )是一个循环的关键。
A 计划阶段 B 实施阶段 C 检查阶段 D 处理阶段
查看
单选
全面质量管理的基本方法概括为四个阶段八个步骤,简称PDCA循环,下列属于C的是( )。
A 制定对策和措施化 B 进行排列 C 检查采取措施后的效果 D 执行措施
查看
单选
下列选项中不属于P6的主要功能中能同时有效控制大型、复杂工程项目的是()。
A 通过工作分解结构对工程数据进行结构化组织 B 可反映各工序的时间、资源和费用 C 利用资源直方图和资源表格来标出潜在的资源冲突问题 D 以标准、美观的格式形象具体地呈现项目计划
查看
单选
关于时标网络计划中的时间参数,下列选项中说法正确的是()。
A 每条箭线的箭尾节点中心所对应的时标值为该工作的最早完成时间 B 工作箭线中存在波形线时,其箭头节点中心所对应的时标值为该工作的最早完成时间 C 工作箭线中不存在波形线时,工作箭线实线部分右端点所对应的时标值为该工作的最早完成时间 D 计算工期的判定,时标网络计划的计算工期,应为计算坐标体系中终点节点与起点节点所在位置的时标值之差
查看
单选
工程产品质量由咨询单位、设计单位、承包人、材料供应商等来完成,体现了工程项目质量( )。
A 形成过程的复杂性 B 影响因素多 C 波动性大 D 质量隐蔽性
查看
单选
根据《建设工程质量管理条例》,设计单位在设计文件中选用的材料、构配件和设备,应当注明其()
A 生产厂 B 供应商 C 使用年限 D 规格和型号
查看
刷题小程序
热门试卷
2022年监理工程师考试《建设工程目标控制(水利工程)》强化提分卷
2022年监理工程师考试《建设工程目标控制(水利工程)》临考密训卷
2021年监理工程师考试《建设工程目标控制(水利工程)》密训卷
2021年监理工程师考试《建设工程目标控制(水利工程)》模拟卷
2023目标控制(水利工程)模拟1
2023目标控制(水利工程)模拟2
2023目标控制(水利工程)模拟3
2023目标控制(水利工程)模拟4
2023目标控制(水利工程)押题密卷1
2023目标控制(水利工程)押题密卷2
2023目标控制(水利工程)押题密卷3
2023目标控制(水利工程)押题密卷4
2023目标控制(水利工程)押题密卷5
2023目标控制(水利工程)押题密卷6
2024年监理工程师《监理目标控制(水利工程)》模拟题库1