首页
考研
最新考研题库
中外美术史23新版
建筑类
二级建造师
一级建造师
一级造价工程师
监理工程师
安全工程师
一级消防工程师
消防设施操作员
医学类
主治类
执业药师
护师(初级)资格证考试
主管护师(中级)资格证考试
护士资格证考试
医师类
中药学类
金融类
基金从业资格
银行从业资格
证券从业资格
期货从业资格
银行招聘考试
财会类
初级经济师
中级经济师
初级会计师
中级会计师
注册会计师
税务师
资产评估师
教师类
中学教师笔试
小学教师笔试
幼儿教师笔试
幼儿结构化面试
幼儿专业面试
中小学结构化面试
学历提升
成考(专升本)
成考(高起本、高起专)
自考
网校课程
登录
注册好礼
我的主页
我的提问
我的回答
退出
当前位置:
首页
>
目标控制(土木建筑)
>
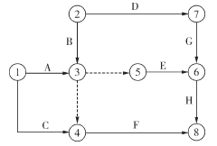
某工程双代号网络图如下图所示,存在的绘图错误有( )。
多选
某工程双代号网络图如下图所示,存在的绘图错误有( )。
A 多个起点节点
B 多个终点节点
C 存在循环回路
D 节点编号有误
E 有多余虚工作
正确答案
ADE
查看解析
搜索
相关试题
单选
卓越绩效模式中,组织质量管理的首要原则是( )。
A 强调大质量观 B 以顾客和市场为中心 C 强调系统思考和系统整合 D 强调可持续发展和社会责任
查看
单选
在直方图的绘制中,横坐标表示( )。
A 产品质量特性值 B 不合格产品的频数 C 质量特性值出现的频数 D 影响产品质量的各因素
查看
单选
对由热轧钢筋制成的成型钢筋,当有施工单位或监理单位的代表驻厂监督生产过程,并提供原材钢筋力学性能第三方检验报告时,可仅进行( )。
A 拉力试验 B 弯曲性能 C 化学成分 D 重量偏差检验
查看
单选
监理工程师审查勘察单位提交的勘察成果报告后,应向建设单位提交勘察成果评估报告,评估报告的内容不包括( )。
A 勘察工作概况 B 勘察报告编制深度 C 与勘察方案的符合情况 D 勘察任务书的完成情况
查看
单选
根据《建筑地基基础设计规范》的规定,地基土载荷试验应符合的要求是( )。
A 试验基坑宽度不应小于承压板宽度或直径的2倍 B 同一土层参加统计的试验点不应少于5点 C 加荷分级不应少于8级 D 沉降量与承压板宽度或直径之比大于0.08时终止加载
查看
单选
工程监理单位勘察质量管理的主要工作不包括( )。
A 编制工程勘察任务书 B 协助建设单位选择工程勘察单位 C 审查勘察单位提交的勘察方案 D 审查勘察单位提交的勘察成果报告
查看
单选
建筑与人防专业建设项目,设计阶段不包括( )。
A 方案设计 B 技术设计 C 施工图设计 D 初步设计
查看
单选
对于二次深化设计,应组织深化设计单位与原设计单位充分协商沟通,出具深化设计图纸,由( )审核会签,以确认深化设计符合总体设计要求。
A 原设计单位 B 构件制作单位 C 施工单位 D 监理单位
查看
单选
在工程施工质量控制的依据中,下列属于有关工程材料及其制品质量技术标准的是( )。
A 型钢验收规定 B 钢材质量标准 C 木材的物理力学试验方法 D 钢材的机械及工艺试验取样法
查看
单选
根据《建筑工程施工质量验收统一标准》的规定,下列验收层次中包括有观感质量验收项目的是( )。
A 检验批 B 分项工程 C 分部工程 D 隐蔽工程
查看
刷题小程序
热门试卷
2022年监理工程师考试《建设工程目标控制(土木建筑工程)》临考密训卷
2022年监理工程师考试《建设工程目标控制(土木建筑工程)》强化提分卷
2022年监理工程师考试《建设工程目标控制(土木建筑工程)》全真模拟卷
2022年监理工程师考试《建设工程目标控制(土木建筑工程)》密训卷(符合2022版新教材)
2022年监理工程师考试《建设工程目标控制(土木建筑工程)》冲刺卷(符合2022版新教材)
2022年监理工程师考试《建设工程目标控制(土木建筑工程)》模拟卷(符合2022版新教材)
监理工程师《 目标控制土木建筑》模拟卷1
监理工程师《 目标控制土木建筑》模拟卷2
监理工程师《 目标控制土木建筑》模拟卷3
监理工程师《 目标控制土木建筑》押题密卷1
监理工程师《 目标控制土木建筑》押题密卷2
监理工程师《 目标控制土木建筑》押题密卷3
监理工程师《 目标控制土木建筑》押题密卷4
监理工程师《 目标控制土木建筑》押题密卷5
监理工程师《 目标控制土木建筑》押题密卷6