首页
考研
最新考研题库
中外美术史23新版
建筑类
二级建造师
一级建造师
一级造价工程师
监理工程师
安全工程师
一级消防工程师
消防设施操作员
医学类
主治类
执业药师
护师(初级)资格证考试
主管护师(中级)资格证考试
护士资格证考试
医师类
中药学类
金融类
基金从业资格
银行从业资格
证券从业资格
期货从业资格
银行招聘考试
财会类
初级经济师
中级经济师
初级会计师
中级会计师
注册会计师
税务师
资产评估师
教师类
中学教师笔试
小学教师笔试
幼儿教师笔试
幼儿结构化面试
幼儿专业面试
中小学结构化面试
学历提升
成考(专升本)
成考(高起本、高起专)
自考
网校课程
登录
注册好礼
我的主页
我的提问
我的回答
退出
当前位置:
首页
>
目标控制(土木建筑)
>
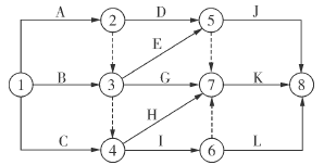
某工程双代号网络计划如下图所示,工作C的紧后工作有( )。
多选
某工程双代号网络计划如下图所示,工作C的紧后工作有( )。
A 工作J
B 工作H
C 工作I
D 工作K
E 工作L
正确答案
BC
查看解析
搜索
相关试题
单选
下列工作中,施工单位不得擅自开展的是( )。
A 对已完成的分项工程进行自检 B 对预拌混凝土进行检验 C 对分包工程质量进行检查 D 修改工程设计,纠正设计图纸差错
查看
单选
工程质量统计分析相关图中,散布点形成由左至右向下分布的较分散的直线带,表明反映产品质量特征的变量之间存在( )关系。
A 不相关 B 正相关 C 弱正相关 D 弱负相关
查看
单选
根据《建设工程质量保证金管理办法》,质量保证金预留总额不得高于工程价款结算总额的( )。
A 5% B 4% C 3% D 2%
查看
单选
对已进场经检验不合格的工程材料,项目监理机构应要求施工单位将该批材料( )。
A 就地封存 B 重新试验检测,合格后方可使用 C 限期撤出施工现场 D 降低标准使用
查看
单选
计数型一次抽样检验方案为(Nn,C.其中N为送检批的大小,n为抽取的样本数大小,C为合格判定数,若发现n中有d件不合格品,当( )时该送检批合格
A d=C+1 B d<C+1 C d>c D d≤C
查看
单选
某混凝土工程总高度为80m,拟采用滑模技术施工,根据《危险性较大的分部分项工程安全管理规定》,施工单位编制的专项施工方案的正确处理方式是( )
A 报送项目监理机构审批同意后方可实施 B 经施工单位技术负责人审核和总监理工程师审查后,组织专家论证 C 组织专家论证通过后,报送项目监理机构审查 D 经总监理工程师审查同意后,报送监理单位技术负责人审批
查看
单选
大型、复杂、关键设备和成套设备,一般采用( )订货方式。
A 市场采购 B 指定厂家 C 招标采购 D 委托采购
查看
单选
工程质量统计分析方法中,用来显示两种质量数据之间关系的是( )
A 因果分析图法 B 相关图法 C 直方图法 D 控制图法
查看
单选
总监理工程师组织专业监理工程师对施工方案内容进行审查时,应重点审查( )。
A 施工方案编制人资格是否符合要求 B 施工方案是否有针对性和可操作性 C 施工方案审批人资格是否符合要求 D 工程概况是否全面
查看
单选
质量管理体系应能采用适当的预防措施,有一定的防止重要质量问题发生的能力。这体现了质量管理体系的( )。
A 符合性 B 动态性 C 全面有效性 D 预防性
查看
刷题小程序
热门试卷
2022年监理工程师考试《建设工程目标控制(土木建筑工程)》临考密训卷
2022年监理工程师考试《建设工程目标控制(土木建筑工程)》强化提分卷
2022年监理工程师考试《建设工程目标控制(土木建筑工程)》全真模拟卷
2022年监理工程师考试《建设工程目标控制(土木建筑工程)》密训卷(符合2022版新教材)
2022年监理工程师考试《建设工程目标控制(土木建筑工程)》冲刺卷(符合2022版新教材)
2022年监理工程师考试《建设工程目标控制(土木建筑工程)》模拟卷(符合2022版新教材)
监理工程师《 目标控制土木建筑》模拟卷1
监理工程师《 目标控制土木建筑》模拟卷2
监理工程师《 目标控制土木建筑》模拟卷3
监理工程师《 目标控制土木建筑》押题密卷1
监理工程师《 目标控制土木建筑》押题密卷2
监理工程师《 目标控制土木建筑》押题密卷3
监理工程师《 目标控制土木建筑》押题密卷4
监理工程师《 目标控制土木建筑》押题密卷5
监理工程师《 目标控制土木建筑》押题密卷6