首页
考研
最新考研题库
中外美术史23新版
建筑类
二级建造师
一级建造师
一级造价工程师
监理工程师
安全工程师
一级消防工程师
消防设施操作员
医学类
主治类
执业药师
护师(初级)资格证考试
主管护师(中级)资格证考试
护士资格证考试
医师类
中药学类
金融类
基金从业资格
银行从业资格
证券从业资格
期货从业资格
银行招聘考试
财会类
初级经济师
中级经济师
初级会计师
中级会计师
注册会计师
税务师
资产评估师
教师类
中学教师笔试
小学教师笔试
幼儿教师笔试
幼儿结构化面试
幼儿专业面试
中小学结构化面试
学历提升
成考(专升本)
成考(高起本、高起专)
自考
网校课程
登录
注册好礼
我的主页
我的提问
我的回答
退出
当前位置:
首页
>
目标控制(土木建筑)
>
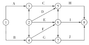
某分部工程中各项工作间逻辑关系见下表,相应的双代号网络计划如下图所示,图中存在的错误有( )。
多选
某分部工程中各项工作间逻辑关系见下表,相应的双代号网络计划如下图所示,图中存在的错误有( )。
A 多个终点节点
B 多个起点节点
C 工作代号重复
D 不符合给定逻辑关系
E 节点编号有误
正确答案
BDE
查看解析
搜索
相关试题
单选
通过对人的素质和行为控制,以工作质量保证工程质量的做法,体现了坚持( )的原则。
A 质量第一 B 预防为主 C 以人为核心 D 以合同为依据
查看
单选
项目监理机构对施工方案的审查内容是( )
A 施工总平面布置 B 计算书及相关图纸 C 资金、劳动力等资源供应计划 D 施工预算
查看
单选
在工程建设中自始至终把( )作为对工程的基本原则
A 人为核心 B 质量第一 C 以合同为依据 D 坚持科学、公平、守法的职业道德规范
查看
单选
地基土的物理性质试验和检测时,在现场条件下,对于粗料,采用( )测定其密度。
A 环刀法 B 灌砂法 C 取士器法 D 直接称量法
查看
单选
根据《危险性较大的分部分项工程安全管理规定》施工单位应编制专项施工方案,并组织专家论证的是( )工程。
A 开挖深度为4.5m的基坑 B 45m高的脚手架 C 悬挂高度为100m的高处作业吊篮 D 20m高的悬挑脚手架
查看
单选
建设单位委托专业设计单位进行二次深化设计绘制的图纸,应由( )审核签认。
A 建设单位 B 管理单位 C 原设计单位 D 勘察单位
查看
单选
工程的统计分析方法中,可以用来系统整理分析某个质量问题与其产生原因之间的方法是( )
A 因果分析图法 B 相关图法 C 排列图法 D 直方图法
查看
单选
工程监理单位在工程勘察阶段控制质量,最重要的工作是审核与评定( )。
A 勘察方案 B 勘察任务书 C 勘察合同 D 勘察成果
查看
单选
建设工程在竣工验收时达到规定的指标,且在规定的使用期内保持正常功能,体现的是建设工程质量的( )特性。
A 耐久性 B 安全性 C 可靠性 D 经济性
查看
单选
施工单位编制的施工组织设计应经施工单位( )审核签认后,方可报送项目监理机构审查。
A 法定代表人 B 技术负责人 C 项目负责人 D 项目技术负责人
查看
刷题小程序
热门试卷
2022年监理工程师考试《建设工程目标控制(土木建筑工程)》临考密训卷
2022年监理工程师考试《建设工程目标控制(土木建筑工程)》强化提分卷
2022年监理工程师考试《建设工程目标控制(土木建筑工程)》全真模拟卷
2022年监理工程师考试《建设工程目标控制(土木建筑工程)》密训卷(符合2022版新教材)
2022年监理工程师考试《建设工程目标控制(土木建筑工程)》冲刺卷(符合2022版新教材)
2022年监理工程师考试《建设工程目标控制(土木建筑工程)》模拟卷(符合2022版新教材)
监理工程师《 目标控制土木建筑》模拟卷1
监理工程师《 目标控制土木建筑》模拟卷2
监理工程师《 目标控制土木建筑》模拟卷3
监理工程师《 目标控制土木建筑》押题密卷1
监理工程师《 目标控制土木建筑》押题密卷2
监理工程师《 目标控制土木建筑》押题密卷3
监理工程师《 目标控制土木建筑》押题密卷4
监理工程师《 目标控制土木建筑》押题密卷5
监理工程师《 目标控制土木建筑》押题密卷6