2026教材P220 、2025教材P218
1.流水施工的常用组织形式有:
(1)等节奏流水施工;
(2)异节奏流水施工;
(3)无节奏流水施工。
2.根据工程特点,该工程只能组织无节奏流水施工。
3.求各施工过程之间的流水步距:
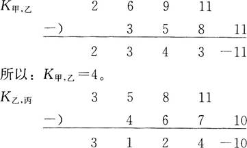
(1)各施工过程流水节拍的累加数列
甲:2、6、9、11
乙:3、5、8、11
丙:4、6、7、10
(2)错位相减,取最大值的流水步距

所以:K乙,丙=4。
(3)总工期
T=∑Kj,j+1+∑Z+∑G+tn-∑C=(4+4)+(4+2+1+3)+2-1=19d。
4.流水施工计划图如下所示:
无节奏流水施工计划图
